آخر تحديث :
27/04/2026
مضاد حيوي   Tobramycin sulfate  
حقن
الأيروصولات عن طريق الفم  قطرات العين
الاستقرار في حلول استقرار مخاليط العوامل التي تؤثر على الاستقرار التوافق طريقة التعاطي مراجع pdf
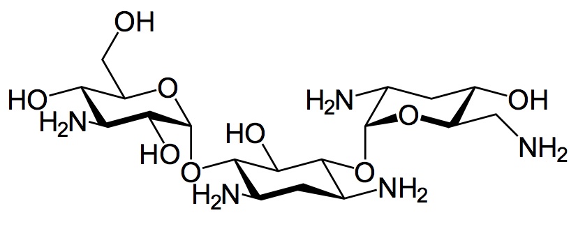
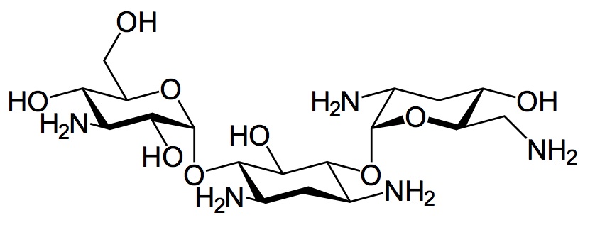
   التركيب الكيميائي  

حجز الاسم التجاري   حجز الاسم التجاري     

تحذير الأسماء التجاريه المختلفه قد تحتوي علي محتوي إضافات مختلفة حسب الدوله و المعمل

Bactob الهند
Beltob الهند
Bramicil إيطاليا
Brulamycin سلوفينيا, ماليزيا, هنغاريا
Eltol الهند
Fytobra الهند
Gernebcin ألمانيا
Komitob الهند
Nebcin الإمارات العربية المتحدة, العربية السعودية, بريطانيا العظمي, زيلاندا الجديدة, مصر, يونان
Nebcina الدنمارك, السويد, المغرب, النرويج
Nebcine المغرب, سلوفينيا, فرنسا
Nebicina إيطاليا
Obracin بلجيكا, سويسرا, لوكسمبورغ, هولندا
Tobracin البرازيل, العربية السعودية, مصر
Tobramicina إسبانيا, إيطاليا, الأرجنتين, الإكوادور, البرازيل, البرتغال, تشيلي, كولومبيا
Tobramina البرازيل
Tobramycin أستراليا, ألمانيا, العربية السعودية, النرويج, الولايات المتحدة, ايرلندا, بريطانيا العظمي, كندا
Tobramycine ايرلندا, فرنسا, هولندا
Tobrasix النمسا
Tobrazid ألمانيا
الاستقرار في حلول   حقن   الاستقرار في حلول : Tobramycin sulfate     
حاوية مذيب تركيز درجة الحرارة تخزين مدة الاستقرار مراجع
البولي فينيل كلوريد كلوريد الصوديوم 0.9% 1 & 10 mg/ml 25°C لم يتم تحديد
3 يوم
13
B مستوى الأدلة

البولي فينيل كلوريد كلوريد الصوديوم 0.9% 1 & 10 mg/ml 5°C بعيدا عن الضوء
14 يوم
13
B مستوى الأدلة

البولي فينيل كلوريد كلوريد الصوديوم 0.9% 1,2 mg/ml -20°C بعيدا عن الضوء
28 يوم
565
D مستوى الأدلة

البولي فينيل كلوريد كلوريد الصوديوم 0.9% 1,2 mg/ml 25°C ضوء
48 ساعة
434

البولي فينيل كلوريد كلوريد الصوديوم 0.9% 1,2 mg/ml 4°C بعيدا عن الضوء
48 ساعة
434

البولي فينيل كلوريد الجلوكوز %5 1,2 mg/ml -20°C بعيدا عن الضوء
28 يوم
565
D مستوى الأدلة

البولي فينيل كلوريد الجلوكوز %5 1,2 mg/ml 25°C ضوء
48 ساعة
434

البولي فينيل كلوريد الجلوكوز %5 1,2 mg/ml 4°C بعيدا عن الضوء
48 ساعة
434

البولي فينيل كلوريد الجلوكوز %5 3,2 mg/ml -20°C بعيدا عن الضوء
30 يوم
575
التحليل البيولوجي

الإثيلين خلات الفينيل كلوريد الصوديوم 0.9% 0,95 mg/ml 23°C بعيدا عن الضوء
7 يوم
1704
 A+ مستوى الأدلة

الإثيلين خلات الفينيل كلوريد الصوديوم 0.9% 0,95 mg/ml 4°C بعيدا عن الضوء
30 يوم
1704
 A+ مستوى الأدلة

محقنة البولي بروبلين حقن المياه لل 40 mg/ml 25°C لم يتم تحديد
60 يوم
709
التحليل البيولوجي

محقنة البولي بروبلين حقن المياه لل 40 mg/ml 4°C بعيدا عن الضوء
60 يوم
709
التحليل البيولوجي

محقنة البولي بروبلين كلوريد الصوديوم 0.9% 30 mg/ml 22°C-23°C ضوء
48 ساعة
639
D مستوى الأدلة

ولي إيزوبرين إلاستومر كلوريد الصوديوم 0.9% 0,5 & 5 mg/ml 25°C لم يتم تحديد
24 ساعة
604
بيانات الشركة المصنعة \\ \'ق الاستقرار

ولي إيزوبرين إلاستومر كلوريد الصوديوم 0.9% 0,5 & 5 mg/ml 4°C بعيدا عن الضوء
10 يوم
604
بيانات الشركة المصنعة \\ \'ق الاستقرار

ولي إيزوبرين إلاستومر الجلوكوز %5 0,5 & 5 mg/ml 25°C لم يتم تحديد
24 ساعة
604
بيانات الشركة المصنعة \\ \'ق الاستقرار

ولي إيزوبرين إلاستومر الجلوكوز %5 0,5 & 5 mg/ml 4°C بعيدا عن الضوء
10 يوم
604
بيانات الشركة المصنعة \\ \'ق الاستقرار


  Mentions Légales