Последно актуализиране :
05/12/2025
Антибиотик   Tobramycin sulfate  
Инжекция/Инжекционен
Аерозол Капки за очи Орален разтвор
Стабилност на разтвори Стабилност на смеси Фактори, повлияващи стабилността Съвместимост Път на въвеждане Библиография Pdf
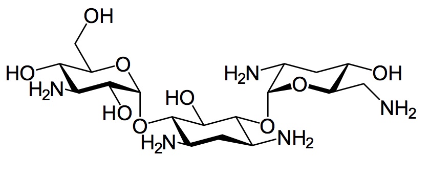
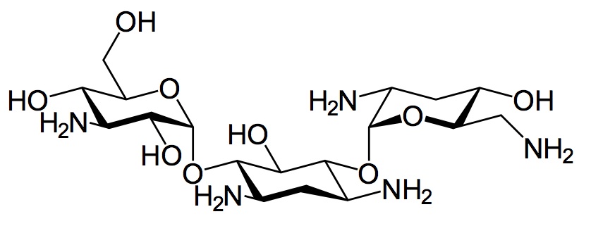
   Химична структура  

Търговско наименование   Търговско наименование     

Търговските имена са примерни и съставът на помощните вещества може да бъде различен в зависимост от държавата и лабораториите

Bactob Индия
Beltob Индия
Bramicil Италия
Brulamycin Малайзия, Словения, Унгария
Eltol Индия
Fytobra Индия
Gernebcin Германия
Komitob Индия
Nebcin Великобритания, Гърция, Египет, нова Зеландия, Обединени арабски емирства, Саудитска Арабия
Nebcina Дания, Мароко, Норвегия, Швеция
Nebcine Мароко, Словения, Франция
Nebicina Италия
Obracin Белгия, Люксенбург, Холандия, Швейцария
Tobracin Бразилия, Египет, Саудитска Арабия
Tobramicina Аржентина, Бразилия, Еквадор, Испания, Италия, Колумбия, Португалия, Чили
Tobramina Бразилия
Tobramycin Австралия, Великобритания, Германия, Ирландия, Канада, Норвегия, Саудитска Арабия, Съединени Американски щати / САЩ
Tobramycine Ирландия, Франция, Холандия
Tobrasix Австрия
Tobrazid Германия
Стабилност на разтвори   Инжекция/Инжекционен   Стабилност на разтвори : Tobramycin sulfate     
Контейнер Разтворител Концентрация Температура Съхранение Продължителност на стабилността Библиография
Поливинил хлорид NaCl 0,9% or Glucose 5% 1,2 mg/ml -20°C Защита от светлина
28 Ден
565
Степен на доказаност D

Поливинил хлорид NaCl 0,9% or Glucose 5% 1,2 mg/ml 25°C Светлина
48 Час
434

Поливинил хлорид NaCl 0,9% or Glucose 5% 1,2 mg/ml 4°C Защита от светлина
48 Час
434

Поливинил хлорид Sodium chloride 0,9% 1 & 10 mg/ml 25°C Не е уточнено
3 Ден
13
Степен на доказаност B

Поливинил хлорид Sodium chloride 0,9% 1 & 10 mg/ml 5°C Защита от светлина
14 Ден
13
Степен на доказаност B

Поливинил хлорид Glucose 5% 3,2 mg/ml -20°C Защита от светлина
30 Ден
575
Биологичен анализ

Етилен винил ацетат Sodium chloride 0,9% 0,95 mg/ml 23°C Защита от светлина
7 Ден
1704
Степен на доказаност A+

Етилен винил ацетат Sodium chloride 0,9% 0,95 mg/ml 4°C Защита от светлина
30 Ден
1704
Степен на доказаност A+

шприц полипропилен Вода за инжекции 40 mg/ml 25°C Не е уточнено
60 Ден
709
Биологичен анализ

шприц полипропилен Вода за инжекции 40 mg/ml 4°C Защита от светлина
60 Ден
709
Биологичен анализ

шприц полипропилен Sodium chloride 0,9% 30 mg/ml 22°C-23°C Светлина
48 Час
639
Степен на доказаност D

Полиизопренов еластомер NaCl 0,9% or Glucose 5% 0,5 & 5 mg/ml 25°C Не е уточнено
24 Час
604
Данни за стабилност на производителя

Полиизопренов еластомер NaCl 0,9% or Glucose 5% 0,5 & 5 mg/ml 4°C Защита от светлина
10 Ден
604
Данни за стабилност на производителя


  Mentions Légales