Siste oppdatering :
27/04/2026
Antibiotika   Tobramycin sulfate  
Injeksjon
Aerosol Mikstur Øyedråper
Oppløsningsstabilitet Stabilitet i blandinger Faktorer som påvirker stabiliteten Kompatibilitet Administrasjonsmåte Referanser pdf
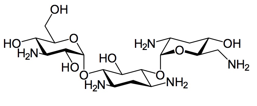
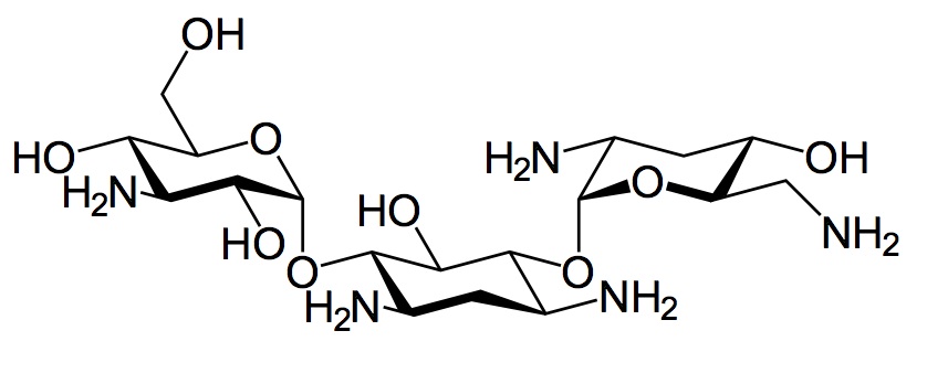
   Kjemisk struktur  

Handelsnavn   Handelsnavn     

Handelsnavn er veiledende og sammensetning av hjelpestoffer kan være forskjellig avhengig av land og produsent

Bactob India
Beltob India
Bramicil Italia
Brulamycin Malaysia, Slovenia, Ungarn
Eltol India
Fytobra India
Gernebcin Tyskland
Komitob India
Nebcin De forente arabiske emirater, Egypt, Hellas, New Zealand, Saudi-Arabia, Storbritannia
Nebcina Danmark, Marokko, Norge, Sverige
Nebcine Frankrike, Marokko, Slovenia
Nebicina Italia
Obracin Belgia, Luxembourg, Nederland, Sveits
Tobracin Brasil, Egypt, Saudi-Arabia
Tobramicina Argentina, Brasil, Chile, Colombia, Ecuador, Italia, Portugal, Spania
Tobramina Brasil
Tobramycin Australia, Canada, Irland, Norge, Saudi-Arabia, Storbritannia, Tyskland, USA
Tobramycine Frankrike, Irland, Nederland
Tobrasix Østerrike
Tobrazid Tyskland
Oppløsningsstabilitet   Injeksjon   Oppløsningsstabilitet : Tobramycin sulfate     
Beholder Oppløsningsmiddel Konsentrasjon Temperatur Oppbevaring Varighet av stabilitet Referanser
Polyvinylklorid Natriumklorid 0,9 % 1 & 10 mg/ml 25°C Ikke angitt
3 Dag
13
Bevisgrad B

Polyvinylklorid Natriumklorid 0,9 % 1 & 10 mg/ml 5°C Beskyttes mot lys
14 Dag
13
Bevisgrad B

Polyvinylklorid Natriumklorid 0,9 % 1,2 mg/ml -20°C Beskyttes mot lys
28 Dag
565
Bevisgrad D

Polyvinylklorid Natriumklorid 0,9 % 1,2 mg/ml 25°C Lys
48 Tid
434

Polyvinylklorid Natriumklorid 0,9 % 1,2 mg/ml 4°C Beskyttes mot lys
48 Tid
434

Polyvinylklorid Glukose 5 % 1,2 mg/ml -20°C Beskyttes mot lys
28 Dag
565
Bevisgrad D

Polyvinylklorid Glukose 5 % 1,2 mg/ml 25°C Lys
48 Tid
434

Polyvinylklorid Glukose 5 % 1,2 mg/ml 4°C Beskyttes mot lys
48 Tid
434

Polyvinylklorid Glukose 5 % 3,2 mg/ml -20°C Beskyttes mot lys
30 Dag
575
Biologisk metode

Etylenvinylacetat Natriumklorid 0,9 % 0,95 mg/ml 23°C Beskyttes mot lys
7 Dag
1704
Bevisgrad A +

Etylenvinylacetat Natriumklorid 0,9 % 0,95 mg/ml 4°C Beskyttes mot lys
30 Dag
1704
Bevisgrad A +

Sprøyte polypropylen Vann til injeksjon 40 mg/ml 25°C Ikke angitt
60 Dag
709
Biologisk metode

Sprøyte polypropylen Vann til injeksjon 40 mg/ml 4°C Beskyttes mot lys
60 Dag
709
Biologisk metode

Sprøyte polypropylen Natriumklorid 0,9 % 30 mg/ml 22°C-23°C Lys
48 Tid
639
Bevisgrad D

Polyisopren elastomer Natriumklorid 0,9 % 0,5 & 5 mg/ml 25°C Ikke angitt
24 Tid
604
Stabilitetsopplysninger fra produsent

Polyisopren elastomer Natriumklorid 0,9 % 0,5 & 5 mg/ml 4°C Beskyttes mot lys
10 Dag
604
Stabilitetsopplysninger fra produsent

Polyisopren elastomer Glukose 5 % 0,5 & 5 mg/ml 25°C Ikke angitt
24 Tid
604
Stabilitetsopplysninger fra produsent

Polyisopren elastomer Glukose 5 % 0,5 & 5 mg/ml 4°C Beskyttes mot lys
10 Dag
604
Stabilitetsopplysninger fra produsent


  Mentions Légales