Posledná aktualizácia :
27/01/2026
imunosupresívum   Ciclosporin  
Injekcia
Dermálny prípravok Očná instilácia Perorálny roztok
Stabilita roztokov Stabilita v zmesiach Faktory ovplyvňujúce stabilitu Kompatibility spôsob podania Odkazy na literatúru PDF
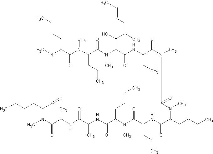
   Chemický vzorec  

Obchodný názov   Obchodný názov     

Obchodné názvy sú orientačné, a zloženie pomocných látok sa môže líšiť v závislosti od krajiny a výrobcu.

Cyclosporine Kanada, Spojené štáty Americké
Graftin India
Sandimmum Argentína, Austrália, Belgicko, Čile, Dánsko, Fínsko, Grécko, Irán, Írsko, Island, Kolumbia, Luxembursko, Maďarsko, Malajzia, Maroko, Mexiko, Nemecko, Nórsko, nový Zéland, peru, Poľsko, Portugalsko, Rakúsko, Saudská Arábia, Španielsko, Spojené arabské emiráty, Švajčiarsko, Švédsko, Taliansko, Tunisko, Turecko, Veľká Británia
Stabilita v zmesiach   Injekcia   Stabilita v zmesiach : Ciclosporin     
obal rozpúšťadlo koncentrácia Zlúčenina teplota uchovávanie Trvanie stability odkazy na lieteratúru
Sklo 5% glukóza 2 mg/ml
Injekcia   Ciclosporin   
Injekcia   Magnesium sulfate 30 mg/ml
24°C
6 hodín
Za svetla 291
Úroveň dôkazov D

  Mentions Légales