Τελευταία ενημέρωση :
27/01/2026
Ανοσοκατασταλτικό   Ciclosporin  
Ενέσιμο
Αλοιφές Οφθαλμικές σταγόνες Πόσιμο διάλυμα
Σταθερότητα διαλυμάτων Σταθερότητα σε μίγματα Παράγοντας που επηρεάζει τη σταθερότητα Συμβατότητες Τρόπος χορήγησης Βιβλιογραφία pdf
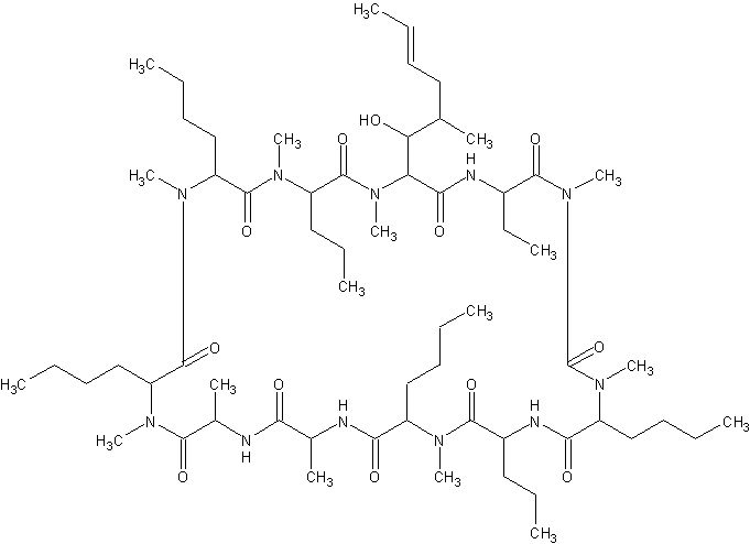
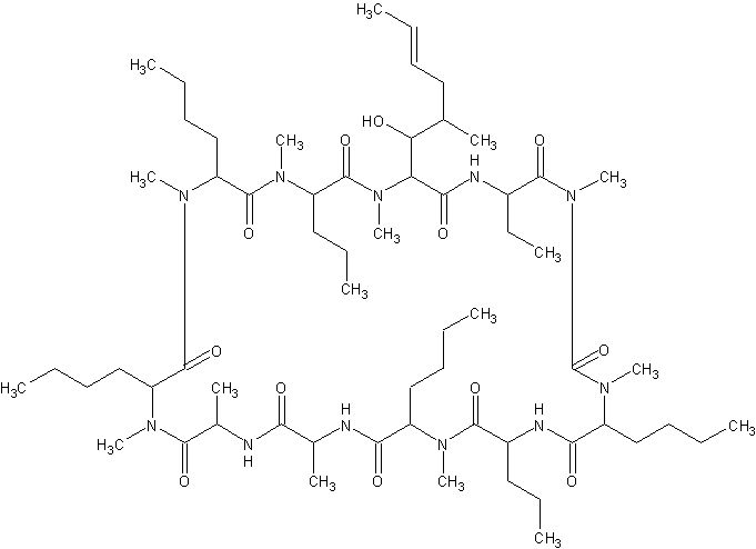
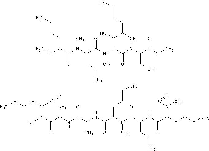
   χημική δομή  

Εμπορική ονομασία   Εμπορική ονομασία     

Οι εμπορικές ονομασίες είναι ενδεικτικές και η σύνθεση των εκδόχων μπορεί να διαφέρει ανάλογα με τη χώρα και τα εργαστήρια

Cyclosporine Η.Π.Α., Καναδάς
Graftin Ινδία
Sandimmum Yhdistyneet arabiemiirikunnat, Αργεντινή, Αυστραλία, Αυστρία, Βέλγιο, Γερμανία, Δανία, Ελβετία, Ελλάδα, Ιράν, Ιρλανδία, Ισλανδία, Ισπανία, Ιταλία, Κολομβία, Λουξεμβούργο, Μαλαισία, Μαρόκο, Μεγάλη Βρετανία, Μεξικό, νέα Ζηλανδία, Νορβηγία, Ουγγαρία, Περού, Πολωνία, Πορτογαλία, Σαουδική Αραβία, Σουηδία, Τουρκία, Τυνησία, Φινλανδία, Χιλή
Σταθερότητα σε μίγματα   Ενέσιμο   Σταθερότητα σε μίγματα : Ciclosporin     
Υποδοχέας Διαλυτικό Συγκέντρωση Συστατικό Θερμοκρασία Αποθήκευση Διάρκεια σταθερότητας Βιβλιογραφία
Ύαλος Γλυκόζη 5% 2 mg/ml
Ενέσιμο   Ciclosporin   
Ενέσιμο   Magnesium sulfate 30 mg/ml
24°C
6 Ώρα
Φως 291
Επίπεδο των αποδεικτικών στοιχείων D

  Mentions Légales