Poslední aktualizace :
05/12/2025
Imunosupresantas   Ciclosporin  
Įpurškimas
Akių lašai Geriamas tirpalas Tepalai
Tirpalų stabilumas Mišinių stabilumas Stabilumą lemiantys veiksniai Suderinamumas Leidimo būdai Bibliografija pdf
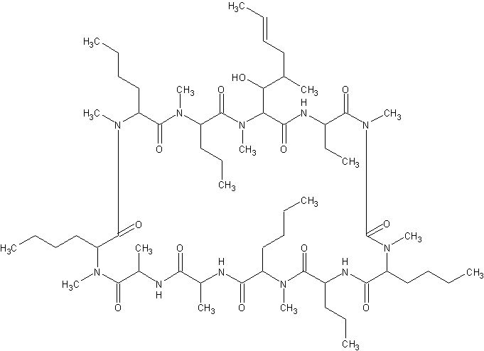
   Cheminė sandara  

Prekinis pavadinimas   Prekinis pavadinimas     

Trade names are indicative and excipients composition can be different depending on the country and manufacturers

Cyclosporine Jungtinės Amerikos Valstijos, Kanada
Graftin Indija
Sandimmum Airija, Argentina, Australija, Austrija, Belgija, Čilė, Danija, Didžioji Britanija, Graikija, Iranas, Islandija, Ispanija, Italija, Jungtiniai Arabų Emyratai, Kolumbija, Lenkija, Liuksemburgas, Malaizija, Marokas, Meksikas, Naujojoje Zelandijoje, Norvegija, Peru, Portugalija, Saudo Arabija, Suomija, Švedija, Šveicarija, Tunisas, Turkija, Vengrija, Vokietija
Mišinių stabilumas   Įpurškimas   Mišinių stabilumas : Ciclosporin     
Pakuotė Tirpiklis Koncentracija Molekulė Temperatūra Laikymas Stabilumo trukmė Nuorodos
Stiklas Gliukozė 5% 2 mg/ml
Įpurškimas   Ciclosporin   
Įpurškimas   Magnesium sulfate 30 mg/ml
24°C
6 Valanda
Šviesa 291
Bandymo lygis D

  Mentions Légales