Seneste opdatering :
27/01/2026
Immunsuppressivum   Ciclosporin  
Injektion
Oral opløsning Salver Øjendråber
Stabilitet i (vandige) opløsninger Stabilitet i blandinger Faktorer der påvirker stabiliteten Kompatibilitet Administrationsvej Bibliografi pdf
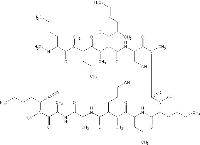
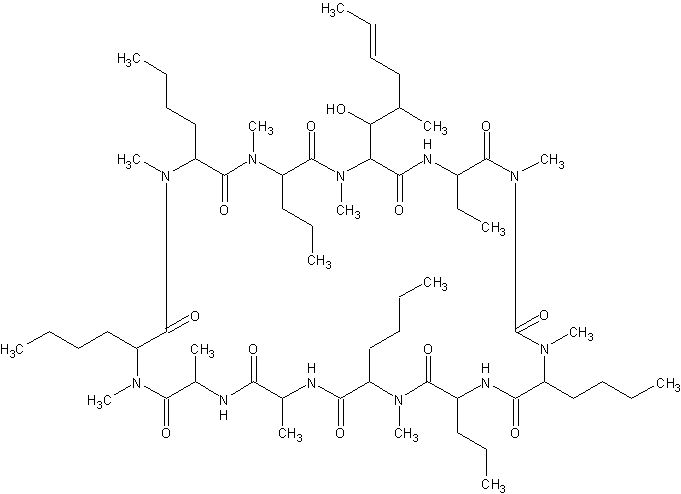
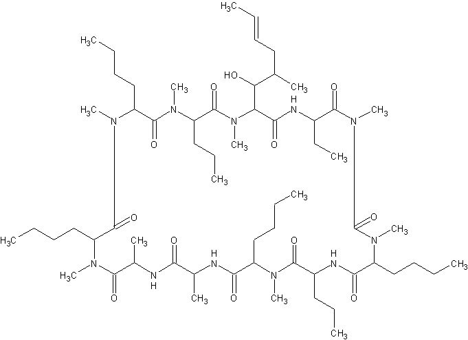
   Kemisk struktur  

Handelsnavn   Handelsnavn     

Handel navne er vejledende og hjælpestoffer sammensætning kan være forskellig afhængigt af landet og laboratorier

Cyclosporine Canada, USA
Graftin Indien
Sandimmum Argentina, Australien, Belgien, Chile, Colombia, Danmark, Finland, Forenede Arabiske Emirater, Grækenland, Iran, Irland, Island, Italien, Luxemborg, Malaysia, Marokko, Marokko, Mexico, New Zealand, Norge, Polen, Portugal, Saudi-Arabien, Schweiz, Spanien, Storbritanien, Sverige, Tunesien, Tyrkiet, Tyskland, Ungarn, Østrig
Stabilitet i blandinger   Injektion   Stabilitet i blandinger : Ciclosporin     
Beholder Opløsningsmiddel Koncentration Molekyle Temperatur Konservering Varighed af stabilitet Bibliografi
Glas 5 % Glukose 2 mg/ml
Injektion   Ciclosporin   
Injektion   Magnesium sulfate 30 mg/ml
24°C
6 Time
Lys 291
Level af bevismateriale D

  Mentions Légales