viimane versioon :
27/01/2026
immunosupressant   Ciclosporin  
Süsteravim
salv Silmatilgad suukaudne lahus
Stabiilsus lahustes Stabiilsust mõjutavad tegurid stabiilsust mõjutavad faktorid Sobimatus Manustamis viis Viited pdf
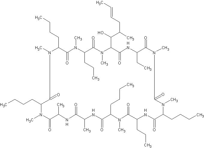
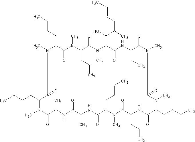
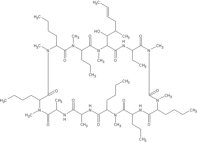
   keemiline struktuur  

Kaubanduslikud nimed erinevates maades   Kaubanduslikud nimed erinevates maades     

Preparaatide nimed on näitlikud ja abianete sisaldus võib erineda sõltuvalt riigist ja laborist

Cyclosporine Ameerika ühendriigid, Kanada
Graftin India
Sandimmum Araabia Ühendemiraadid, Argentiina, Austraalia, Austria, Belgia, Hispaania, Iirimaa, Iraan, Island, Itaalia, Kolumbia, Kreeka, Luksemburg, Malaisia, Maroko, Maroko, Mehhiko, Norra, Poola, Portugal, Rootsi, Saksamaa, Saudi Araabia, Soome, Suurbritannia, Sveits, Taani, Tšiili, Tuneesia, Türgi, Ungari, uus-Meremaa
Stabiilsust mõjutavad tegurid   Süsteravim   Stabiilsust mõjutavad tegurid : Ciclosporin     
konteiner lahusti kontsentratsioon ingredient temperatuur ladustamine Stabiilsuse kestus Viited
klaas glükoos 5% 2 mg/ml
Süsteravim   Ciclosporin   
Süsteravim   Magnesium sulfate 30 mg/ml
24°C
6 Tund
valgus 291
Tõenduspõhisuse tase D

  Mentions Légales