Poslední aktualizace :
27/01/2026
Imunosupresivum   Ciclosporin  
injekce
Humbuk Masti Perorální roztok
Stabilita roztoků Stabilita směsí Faktory ovlivňující stabilitu Kompatibilita Způsoby aplikace Odkazy pdf
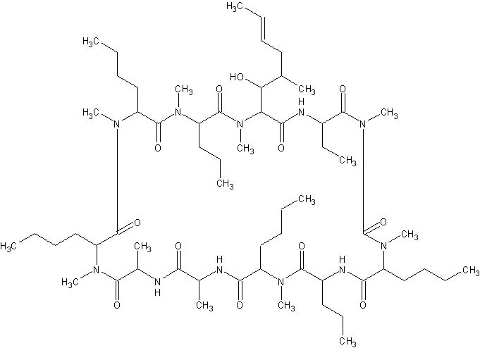
   Chemický vzorec  

Obchodní název   Obchodní název     

Trade names are indicative and excipients composition can be different depending on the country and manufacturers

Cyclosporine Kanada, USA
Graftin Indie
Sandimmum äpanÏlsko, Argentina, Austrálie, Belgie, Chile, Dánsko, Finsko, Írán, Irsko, Island, Itálie, Kolumbie, Lucembursko, Malajsie, MaÔarsko, Maroko, Mexiko, NÏmecko, Norsko, nový Zéland, Peru, Polsko, Portugalsko, Rakousko, Saúdská Arábie, Spojené arabské emiráty, Švédsko, Švýcarsko, Tunisko, Turecko, Velká Británie, ÿecko
Stabilita směsí   injekce   Stabilita směsí : Ciclosporin     
Obal RozpouötÏdlo Koncentrace SlouËenina Teplota Uchovávání Trvání stability Odkazy
Sklo GlukÛza 5% 2 mg/ml
injekce   Ciclosporin   
injekce   Magnesium sulfate 30 mg/ml
24°C
6 Hodina
SvÏtlo 291
Úroveň zkoušky D

  Mentions Légales