Dernière mise à jour :
27/01/2026
Immunosuppresseur   Ciclosporin  
injectable
Collyre Forme dermique Solution buvable
Stabilité des solutions Stabilité en mélange Facteur influençant la stabilité Compatibilités Voie d’administration Bibliographie pdf
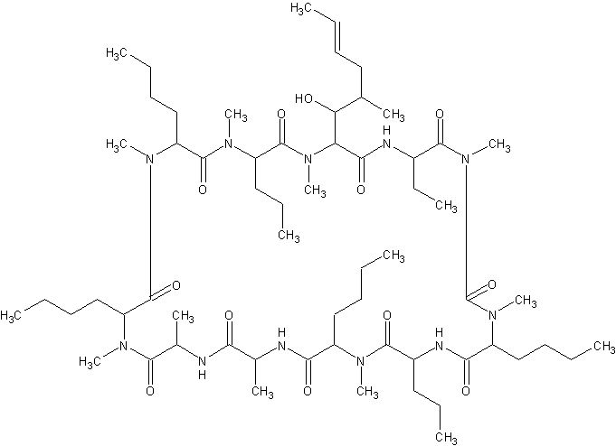
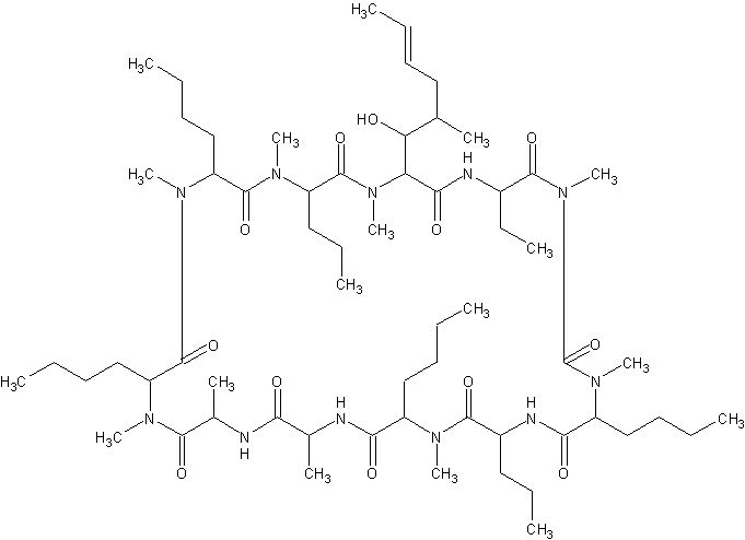
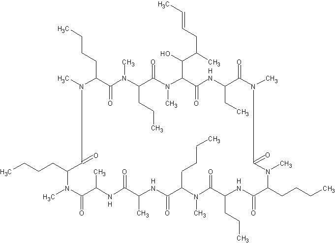
   Structure chimique  

Noms commerciaux   Noms commerciaux     

Les noms commerciaux sont donnés à titre indicatif et la composition en excipients peut être différente selon les pays et selon les laboratoires

Cyclosporine Canada, Etats Unis d’Amérique
Graftin Inde
Sandimmum Allemagne, Arabie Saoudite, Argentine, Australie, Autriche, Belgique, Chili, Colombie, Danemark, Emirats Arabes Unis , Espagne, Finlande, Grande Bretagne, Grèce, Hongrie, Iran, Irlande, Islande, Italie, Luxembourg, Malaisie, Maroc, Mexique, Norvège, Nouvelle Zélande, Pérou, Pologne, Portugal, Suède, Suisse, Tunisie, Turquie
Stabilité en mélange   injectable   Stabilité en mélange : Ciclosporin     
Contenant Solvant Concentration Molécule Température Conservation Durée de stabilité Bibliographie
Verre Glucose 5% 2 mg/ml
injectable   Ciclosporin   
injectable   Magnesium sulfate 30 mg/ml
24°C
6 Heure
Lumière 291
Niveau de preuve D

  Mentions Légales