آخر تحديث :
27/01/2026
مخفض المناعة   Ciclosporin  
حقن
المراهم عن طريق الفم  قطرات العين
الاستقرار في حلول استقرار مخاليط العوامل التي تؤثر على الاستقرار التوافق طريقة التعاطي مراجع pdf
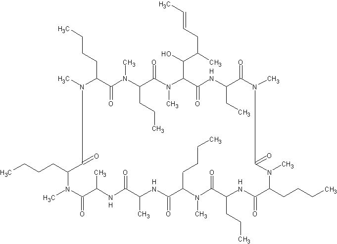
   التركيب الكيميائي  

حجز الاسم التجاري   حجز الاسم التجاري     

تحذير الأسماء التجاريه المختلفه قد تحتوي علي محتوي إضافات مختلفة حسب الدوله و المعمل

Cyclosporine الولايات المتحدة, كندا
Graftin الهند
Sandimmum أستراليا, ألمانيا, أيسلندا, إسبانيا, إيران, إيطاليا, الأرجنتين, الإمارات العربية المتحدة, البرتغال, الدنمارك, السويد, العربية السعودية, المغرب, المكسيك, النرويج, النمسا, ايرلندا, بريطانيا العظمي, بلجيكا, بولندا, بيرو, تركيا, تشيلي, تونس, زيلاندا الجديدة, سويسرا, فنلندا, كولومبيا, لوكسمبورغ, ماليزيا, هنغاريا, يونان
استقرار مخاليط   حقن   استقرار مخاليط : Ciclosporin     
حاوية مذيب تركيز مركب درجة الحرارة تخزين مدة الاستقرار مراجع
زجاج الجلوكوز %5 2 mg/ml
حقن   Ciclosporin   
حقن   Magnesium sulfate 30 mg/ml
24°C
6 ساعة
ضوء 291
D مستوى الأدلة

  Mentions Légales