Viimeisin päivitys :
27/01/2026
Immunosupressiiviset lääkkeet   Ciclosporin  
Injektioneste
Oraaliliuos Salvat Silmätipat
Stabilius liuoksessa Stabilius seoksissa Tekijät, jotka vaikuttavat stabiliuteen Yhteensopivuus Antotapa Viitteet pdf
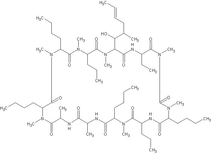
   Kemiallinen rakenne  

Kauppanimi   Kauppanimi     

Trade names are indicative and excipients composition can be different depending on the country and manufacturers

Cyclosporine Kanada, Yhdysvallat
Graftin Intia
Sandimmum Argentiina, Australia, Belgia, Chile, Espanja, Iran, Irlanti, Islanti, Iso-Britannia, Italia, Itävalta, Kolumbia, Kreikka, Luxemburg, Malesia, Marokko, Marokko, Meksiko, New Zealand, Norja, Portugali, Puola, Ruotsi, Saksa, Saudi-Arabia, Suomi, Sveitsi, Tanska, Tunisia, Turkki, Unkari, Yhdistyneet arabiemiirikunnat
Stabilius seoksissa   Injektioneste   Stabilius seoksissa : Ciclosporin     
Astia Liuotin Konsentraatio Yhdiste Lämpötila Säilytys Vakauden kesto Viitteet
Lasi Glukoosi 5% 2 mg/ml
Injektioneste   Ciclosporin   
Injektioneste   Magnesium sulfate 30 mg/ml
24°C
6 tunti
Valo 291
Näytön laajuus D

  Mentions Légales