Ultimele actualizari :
27/01/2026
Imunosupresor   Ciclosporin  
Injectabil
colir Soluţie orală Unguente
Stabilitatea in solutie Stabilitatea in amestec Factorii care influenteaza stabilitatea Compatibilitate Microunde Bibliografie pdf
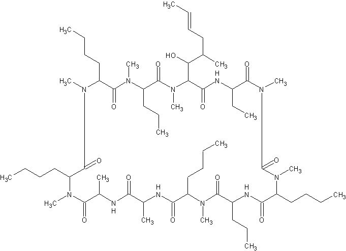
   Formula chimica  

Denumirea comerciala   Denumirea comerciala     

Trade names are indicative and excipients composition can be different depending on the country and manufacturers

Cyclosporine Canada, SUA
Graftin India
Sandimmum Arabia Saudita, Argentina, Australia, Austria, Belgia, Chilli, Columbia, Danemarca, Elvetia, Emiratele Arabe Unite, Finlanda, Germania, Grecia, Iran, Irlanda, Islanda, Italia, Luxemburg, Malaezia, Marea Britanie, Maroc, Mexic, Norvegia, noua Zeelandă, Peru, Polonia, Portugalia, Spania, Suedia, Tunisia, Turcia, Ungaria
Stabilitatea in amestec   Injectabil   Stabilitatea in amestec : Ciclosporin     
Continut Solvent Concentratie Molecula (substanta activa) Temperatura Conservare Durata stabilității Bibiografie
sticla Glucoza 5% 2 mg/ml
Injectabil   Ciclosporin   
Injectabil   Magnesium sulfate 30 mg/ml
24°C
6 Ora
Lumina 291
Nivel de evidență D

  Mentions Légales