Pēdējā atjaunošana :
27/01/2026
Imūnsupresors   Ciclosporin  
Injekcija
Acu pilieni Orāls šķīdums Ziedes
Šķīduma stabilitāte Maisījuma stabilitāte Stabilitāti ietekmējoši faktori Saderība Levadīšanas veids Literatūras saraksts pdf
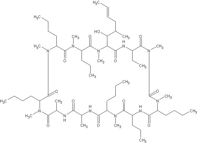
   Ķīmiskā uzbūve   

Oriģinālais nosaukums   Oriģinālais nosaukums     

Tirdzniecības nosaukumi ir apzīmējoši un palīgvielas var atšķirties dažādām valstīm un laboratorijām

Cyclosporine Amerikas Savienotās Valstis, Kanāda
Graftin Indija
Sandimmum Apvienotie Arābu Emirāti, Argentīna, Austrālija, Austrija, Beļģija, Čīle, Dānija, Grieķija, Irāna, Īrija, Islande, Itālija, Jaunzēlande, Kolumbija, Lielbritānija, Luksemburga, Malaizija, Maroka, Meksika, Norvēģija, Peru, Polija, Portugāle, Saūda Arābija, Somija, Spānija, Šveice, Tunisija, Turcija, Ungārija, Vācija, Zviedrija
Maisījuma stabilitāte   Injekcija   Maisījuma stabilitāte : Ciclosporin     
Iepakojums Šķīdinātājs Koncentrācija Savienojums Temperatūra Glabāšana Stabilitātes ilgums Literatūras saraksts
Stikls 5% glikoze 2 mg/ml
Injekcija   Ciclosporin   
Injekcija   Magnesium sulfate 30 mg/ml
24°C
6 Stunda
Gaisma 291
Pierādījumu līmenis D

  Mentions Légales