Laatste update :
27/01/2026
Immunosuppressivum   Ciclosporin  
injecteerbaar geneesmiddel
Oogwater Orale Oplossing zalf
Stabiliteit in oplossing Stabiliteit in mengsels Factoren die de stabiliteit beïnvloeden Verenigbaarheden Toedieningswijze Literatuur pdf
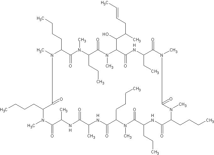
   Molecuulstructuur  

Merknamen in verschillende landen   Merknamen in verschillende landen     

Handelsnamen zijn slechts een indicatie; de samenstelling van hulpstoffen kan per land variëren afhankelijk van de fabrikant

Cyclosporine Canada, USA
Graftin Indië
Sandimmum Argentinië, Australië, België, Chili, Colombia, Denemarken, Duitsland, Finland, Griekenland, Groot Britannië, Hongarije, Ierland, IJsland, Iran, Italië, Luxemburg, Maleisië, Marokko, Mexico, nieuw Zeeland, Noorwegen, Oostenrijk, Peru, Polen, Portugal, Saudi-Arabië, Spanje, Tunisie, Turkije, Verenigde Arabische Emiraten, Zweden, Zwitserland
Stabiliteit in mengsels   injecteerbaar geneesmiddel   Stabiliteit in mengsels : Ciclosporin     
Verpakking Oplosmiddel Concentratie Stof Temperatuur Bewaring Duur van de stabiliteit Literatuur
Glas Glucose 5% 2 mg/ml
injecteerbaar geneesmiddel   Ciclosporin   
injecteerbaar geneesmiddel   Magnesium sulfate 30 mg/ml
24°C
6 Uur
Licht 291
Bewijsniveau D

  Mentions Légales