Zadnji put ažurirano :
27/01/2026
imunosupresori   Ciclosporin  
injekcija
kapi za oko masti oralna otopina
Stabilizacija rješenja Stabilnost mješavine Stabilizacijski faktor Kompatibilnosti način davanja lijeka Bibliografija pdf
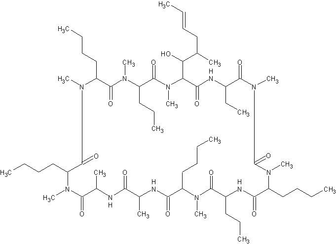
   Kemijska struktura  

Nekomercijalni   Nekomercijalni     

Zaštićeni nazivi su indikativni i sastav ekscipijensa može biti različit ovisno o državi i laboratorijima

Cyclosporine Kanada, S A D
Graftin Indija
Sandimmum Argentina, Australija, Austrija, Belgija, Čile, Danska, Finska, Grčka, Iran, Irska, Island, Italija, Kolumbija, Luksemburg, Madžarska, Malezija, Maroko, Meksiko, Njemačka, Norveška, novi Zeland, Peru, Poljska, Portugal, Saudijska Arabija, Španjolska, Švedska, Švicarska, Tunis, Turska, Ujedinjeni Arapski Emirati, Velika Britanija
Bibliografija   injekcija   Bibliografija : Ciclosporin  
Vrsta Publikacija
93 Časopis Hutchings SR, Rusho WJ, Tyler LS.
Compatibility of cefmetazole sodium with commonly used drugs during Y-site delivery.
Am J Health-Syst Pharm 1996 ; 53: 2185-2188.
140 Časopis Pearson SD, Trissel LA.
Leaching of diethylhexyl phthalate from polyvinyl chloride containers by selected drugs and formulation components.
Am J Hosp Pharm 1993 ; 50: 1405-1409.
289 Časopis Jim LK.
Physical and chemical compatibility of intravenous ciprofloxacin with other drugs.
Ann Pharmacotherapy 1993 ; 27: 704-707.
291 Časopis Nieforth KA, Shea BF, Souney PF, Scavone JM.
Stability of cyclosporine with magnesium sulfate in 5% dextrose injection.
Am J Hosp Pharm 1993 ; 50: 470-472.
300 Časopis Trissel LA, Gilbert DL, Martinez JF.
Compatibility of propofol injectable emulsion with selected drugs during simulated Y-site administration.
Am J Health-Syst Pharm 1997 ; 54: 1287-1292.
301 Časopis Trissel LA, Gilbert DL, Martinez JF, Baker MB, Walter WV, Mirtallo JM.
Compatibility of parenteral nutrient solutions with selected drugs during simulated Y-site administration.
Am J Health-Syst Pharm 1997 ; 54: 1295-1300.
454 Časopis Ptachcinski RJ, Logue LW, Burckart GJ, Venkataramanan R.
Stability and availability of cyclosporine in 5% dextrose injection or 0.9% sodium chloride injection.
Am J Hosp Pharm 1986 ; 43: 94-97.
455 Časopis Venkataramanan R, Burckart GJ, Ptachcinski RJ, Blaha R, Logue LW, Bahnson A, Giam CS, Brady JE.
Leaching of diethylhexyl phtalate from polyvinyl chloride bags into intravenous cyclosporine solution.
Am J Hosp Pharm 1986 ; 43: 2800-2802.
471 Časopis Shea BF, Ptachcinski RJ, O'Neill S, Cersosimo RJ, Sesin GP, Souney PF.
Stability of cyclosporine in 5% dextrose injection.
Am J Hosp Pharm 1989 ; 46: 2053-2055.
891 Časopis Matsuura G.
Visual compatibility of sargramostim (GM-CSF) during simulated Y-site administration with selected agents.
Hosp Pharm 1992 ; 27: 200, 202, 209.
921 Časopis Trissel LA, Gilbert DL, Martinez JF.
Incompatibility and compatibility of amphotericin B cholesteryl sulfate complex with selected other drugs during simulated Y-site administration.
Hosp Pharm 1998 ; 33: 284-292.
1302 Časopis Parr MD, Barton SD, Haver VM, Porter WH.
Cyclosporine binding to components in medication administration sets.
Drug Intell Clin Pharm 1988 ; 22: 173-174.
1415 Časopis Trissel L.A, Gilbert D.L, Martinez J.F, Baker M.B, Walter W.V, Mirtallo J.M.
Compatibility of medications with 3-in-1 parenteral nutrition admixtures.
JPEN 1999 ; 23: 67-74.
1508 Časopis Voirol P, Berger-Gryllaki M, Pannatier A, Eggimann P, Sadeghipour F.
Visual compatibility of insulin aspart with intravenous drugs frequently used in ICU.
EJHP 2015 ;22:123-124.
1625 Časopis Trissel LA, Saenz C, Williams YW, Ingram D.
Incompatibilities of lansoprazole injection with other drugs during simulated Y-site coadministration.
Int J Pharm Compound 2001 ; 5: 314-321.
1925 Časopis Trissel LA , Williams KY, Gilbert DL.
Compatibility screening of linezolid injection during simulated Y-site administration with other drugs and infusion solutions.
J Am Pharm Assoc 2000 ; 40: 515-519.
1982 Časopis Trissel LA, Ogundele AB.
Compatibility of anidulafungin with other drugs during simulated Y-site administration.
Am J Health-Syst Pharm 2005 ; 62: 834-837.
2007 Časopis Gotardo MA, Monteiro M.
Migration of diethylhexyl phtalate from PVC into intravenous cyclosporine solutions.
J Pharm Biomed Anal 2005 ; 38: 709-713.
2087 Časopis Ferreira E, Forest JM, Hildgen P.
Compatibility of dimenhydrinate injectable by Y administration.
Pharmactuel 2004 ; 37: 17-20.
2090 Časopis Pere H, Chasse V, Forest JM, Hildgen P.
Compatibility of injectable pantoprazole in Y-site administration.
Pharmactuel 2004 ; 37: 193-196.
2108 Časopis Trusley C, Kupiec TC, Trissel LA.
Compatibility of micafungin injection with other drugs during simulated Y-site co-administration.
Int J Pharm Compound 2006 ; 10: 230-232.
2109 Časopis Pelletier E, Forest JM, Hildgen P.
Compatibilité de la kétamine injectable lors de l’administration en dérivé avec d’autres médicaments usuels.
Pharmactuel 2006 ; 39: 71-75.
2192 Časopis Cochran BG, Sowinski KM, Fausel C, Overholser BR.
Physical compatibility and chemical stability of mycophenolate mofetil during simulated Y-site administration with commonly coadministered drugs.
Am J Health-Syst Pharm 2007 ; 64, 13: 1410-1414.
2247 Časopis Chan P, Heatherly K, Kupiec T.C, Trissel L.A.
Compatibility of caspofungin acetate injection with other drugs during simulated Y-site coadministration.
Int J Pharm Compound 2008 ; 12, 3: 276-278.
2262 Časopis Brammer MK, Chan P, Heatherly K, Trusley C, Kupiec TC, Trissel LA, Psathas PA, Gilmor T, Schaufelberger D.
Compatibility of doripenem with other drugs during simulated Y-site administratioN
Am J Health-Syst Pharm 2008 ; 65: 1261-1265.
2269 Časopis Chan P, Bishop A, Kupiec TC, Trissel LA, Gole D, Jimidar IM, Vermeersch H.
Compatibility of ceftobiprole medocaril with selected drugs during simulated Y-site administration.
Am J Health-Syst Pharm 2008 ; 65, 16: 1545-1551.
2335 Časopis Canann D, Tyler L.S, Barker B, Condie C.
Visual compatibility of i.v. medications routinely used in bone marrow transplant recipients
Am J Health-Syst Pharm 2009 ; 66, 8: 727-729
2730 Časopis Coutsouvelis J, Yao-Da Dong, Witney K, Li W, Corallo C.
Evaluation of the physicochemical compatibility of cyclosporin infusion and parenteral nutrition when intravenously administered via the same central line lumen.
J Pharm Pract and Res 2015 ; 45: 152-158.
3012 Časopis Sullivan T, Forrest J.M, Leclair G.
Compatibility of Cloxacillin Sodium with Selected Intravenous Drugs During Simulated Y-Site Administration
Hosp Pharm 2015 ; 50, 3: 214-220.
3216 Časopis Legris ME, Valiquette ME, Lavoie A, Forest JM, Leclair G.
Compatibilité physique par évaluation visuelle du salbutamol injectable lors de son administration en Y.
Pharmactuel 2011 ; 44, 1 : 14-18
3229 Časopis Li M, Forest JM, Coursol C, Leclair G.
Stability of cyclosporine solutions stored in polypropylene–polyolefin bags and polypropylene syringes.
Am J Health-Syst Pharm 2011 ;68:1646-1650.
3249 Časopis Singh BM, Dedhiya MG, Dinunzio J, Chan P, Kupiec TC, Trissel LA, Laudano JB.
Compatibility of ceftaroline fosamil for injection with selected drugs during simulated Y-site administration.
Am J Health-Syst Pharm 2011 ; 68: 2163-2169.
3254 Časopis Housman S.T, Tessier P.R, Nicolau D.P, Kuti J.L.
Physical compatibility of telavancin hydrochloride with select i.v. drugs during simulated Y-site administration
Am J Health-Syst Pharm 2011 ; 68: 2265-2270.
3408 Časopis Tollec S, Touzin K, Pelletier E, Forest J.M.
Evaluation visuelle de la compatibilité physique de la naloxone avec d’autres médicaments intraveineux usuels.
Pharmactuel 2013 ; 46, 1 : 16-21.
3476 Časopis Li M, Coursol C, Leclair G.
Stability of cyclosporine diluted with 0.9% sodium chloride injection or 5% dextrose injection and stored in ethylene-vinyl acetate containers.
Am J Health-Syst Pharm 2013 ;70:1970-1972.
3728 Časopis Correard F, Savry A, Gauthier-Villano L, Pisano P, Pourroy B.
Visual compatibility of defibrotide with selected drugs during simulated Y-site administration.
Am J Health-Syst Pharm 2014 ; 71: 1288-1291.
3766 Časopis Forrest J.M, Hildgen P.
Compatibilité de l’acétylcystéine injectable lors de son administration en Y avec d’autres médicaments usuels
Pharmactuel 2014 ; 47, 3 : 161-165.
3767 Časopis Legris M.E, Lavoie A, Forrest J.M, Hildgen P.
Compatibilité par évaluation visuelle du thiopental injectable lors de son administration en Y avec des médicaments usuels.
Pharmactuel 2014 ; 47, 3 : 167-172.
3824 Časopis Boudi S, Roy H, Forest JM, Leclair G.
Compatibilité physique de l'association amoxicilline-acide clavulanique en injection avec plusieurs autres médicaments lors d'une administration en Y.
Pharmactuel 2023 2023;56,3:91-98
3827 Plakat Ghazi I.M, Hamada Y, Nicolau D.P.
Compatibility of tedizolid phosphate with selected intravenous drugs via simulated Y-site conditions.
ASHP Midyear 2015
3828 Plakat Thabit A.K, Hamada Y, Nicolau D.P.
Ceftozolane/tazobactam physical compatibility during simulated Y-site administration.
ASHP Midyear 2015
3829 Plakat So W, Kim L, Thabit A.K, Nicolau D.P, Kuti J.L.
Compatibility of isavunazonium sulfate during simulated Y-site administration.
ASHP Midyear 2015
3948 Časopis Bouchoud L, Fonzo-Christe C, Klingm?ller M, Bonnabry P .
Compatibility of Intravenous Medications With Parenteral Nutrition - In Vitro Evaluation.
JPEN 2012 ;30. 416?424.
3985 Plakat Manai M., Soussi M.A., Lazreg O., Drira C., Ben Tekaya S. et Razgallah Khrouf M.
Compatibilité physique entre médicaments injectables et nutrition parentérale pédiatrique : Evaluation in-vitro.
Hopipharm Congress 2017 - Nancy 2017
4319 Časopis Lessard J-J, Caron E, Schérer H, Forest J-M, Leclair G.
Compatibility of Y-site Injection of Meropenem Trihydrate With 101 Other Injectable Drugs.
Hosp Pharm 2020 ; 55, 5: 332-337.
4389 Časopis Côté K, Correal F, Metras M.E, Friciu M, Forest J.M, Leclair G.
Compatibilité physique des médicaments administrés en Y aux soins intensifs, en particulier la dexmédétomidine, le lévosimendan et la kétamine.
Pharmactuel 2019 ;52,4:206-213
4603 Časopis Vallée M, Barthélémy I, Friciu M, Pelletier E, Forest J.M, Benoit F, Leclair G.
Compatibility of Lactated Ringer’s Injection With 94 Selected Intravenous Drugs During Simulated Y-site Administration.
Hosp Pharm 2021 ; 56, 4: 228-234.
4698 Časopis Ayari G, D'Huart E, Vigneron J, Demoré B.
Y-site compatibility of intravenous medications commonly used in intensive care units : laboratory tests on 75 mixtures involving nine main drugs.
Pharmaceutical Technology in Hospital Pharmacy 2022 ; 7(1): 20220002

  Mentions Légales