Última actualización :
27/01/2026
Antiepiléptico   Topiramate  
Solución Oral
La estabilidad de las preparaciones farmacéuticas Estabilidad en mezcla Factores que influyen sobre la estabilidad Compatibilidades Bibliografía pdf
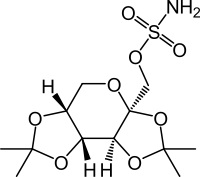
   Estructura química  

Solución Oral
La estabilidad de las preparaciones farmacéuticas   Solución Oral   La estabilidad de las preparaciones farmacéuticas : Topiramate     
Envase Origine Excipiente Temperatura Conservación Duración de la estabilidad Bibliografía
Botella de plástico Polvo 750 mg
® = ?
SyrSpend SF PH4® >> 150 mL
2-8°C A cubierto de la luz
90 Día
3999

Botella de plástico Polvo 750 mg
® = ?
SyrSpend SF PH4® >> 150 mL
20-25°C A cubierto de la luz
90 Día
3999


  Mentions Légales