Τελευταία ενημέρωση :
27/04/2026
Αντιεπιληπτικό   Topiramate  
Πόσιμο διάλυμα
Σταθερότητα και συμβατότητα των φαρμάκων Σταθερότητα σε μίγματα Παράγοντας που επηρεάζει τη σταθερότητα Συμβατότητες Βιβλιογραφία pdf
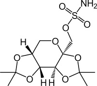
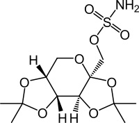
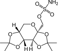
   χημική δομή  

Πόσιμο διάλυμα
Σταθερότητα και συμβατότητα των φαρμάκων   Πόσιμο διάλυμα   Σταθερότητα και συμβατότητα των φαρμάκων : Topiramate     
Υποδοχέας Origine Έκδοχο Θερμοκρασία Αποθήκευση Διάρκεια σταθερότητας Βιβλιογραφία
Πλαστικό μπουκάλι Σκόνη 750 mg
® = ?
SyrSpend SF PH4® >> 150 mL
2-8°C Προστατεύετε από το φως
90 Ημέρα
3999

Πλαστικό μπουκάλι Σκόνη 750 mg
® = ?
SyrSpend SF PH4® >> 150 mL
20-25°C Προστατεύετε από το φως
90 Ημέρα
3999


  Mentions Légales