Letztes “update” :
27/01/2026
Infostab
Molekülverzeichnis
Zusammenfassende Listen
Suche nach kompatibilitäten
Y-Kompatibilitätstabelle
Literaturverzeichnis
Forschungsgruppen
valistab
Poster
Links
Sponsoren
Autoren
Hinweise fûr den Benutzer
Newsletter
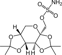
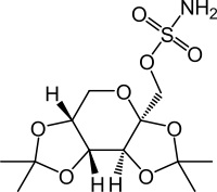
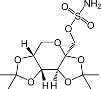
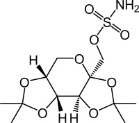
Topiramate
Chemische Struktur
Stabilität von pharmazeutischen Präparaten : Topiramate
750 mg
® = ?
SyrSpend SF PH4®
>> 150 mL
2-8°C
90
3999
750 mg
® = ?
SyrSpend SF PH4®
>> 150 mL
20-25°C
90
3999
Mentions Légales