Laatste update :
27/04/2026
Anti-epilepticum   Topiramate  
Orale Oplossing
Stabiliteit van farmaceutische preparaten Stabiliteit in mengsels Factoren die de stabiliteit beïnvloeden Verenigbaarheden Literatuur pdf
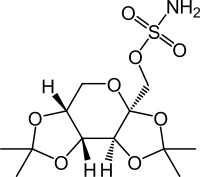
   Molecuulstructuur  

Orale Oplossing
Stabiliteit van farmaceutische preparaten   Orale Oplossing   Stabiliteit van farmaceutische preparaten : Topiramate     
Verpakking Origine  ikˈsipēənt hulpstof Temperatuur Bewaring Duur van de stabiliteit Literatuur
plastic fles poeder 750 mg
® = ?
SyrSpend SF PH4® >> 150 mL
2-8°C Buiten invloed van licht
90 Dag
3999

plastic fles poeder 750 mg
® = ?
SyrSpend SF PH4® >> 150 mL
20-25°C Buiten invloed van licht
90 Dag
3999


  Mentions Légales