最新更新 :
27/01/2026
抗てんかん薬   Topiramate  
経口液
調剤時の安定性 混合時の安定性 安定性に影響する因子 互換性 引用文献 PDF
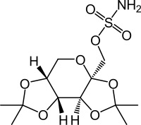
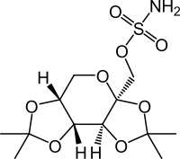
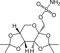
   化学構造  

経口液
調剤時の安定性   経口液   調剤時の安定性 : Topiramate     
容器 Origine 添加剤 温度 保管 安定期間 引用文献
プラスチックボトル 粉 750 mg
® = ?
SyrSpend SF PH4® >> 150 mL
2-8°C 遮光
90 日
3999

プラスチックボトル 粉 750 mg
® = ?
SyrSpend SF PH4® >> 150 mL
20-25°C 遮光
90 日
3999


  Mentions Légales