Siste oppdatering :
27/04/2026
Antiepileptika   Topiramate  
Mikstur
Stabilitet av farmasøytiske preparater Stabilitet i blandinger Faktorer som påvirker stabiliteten Kompatibilitet Referanser pdf
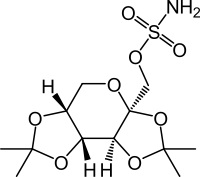
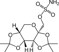
   Kjemisk struktur  

Mikstur
Stabilitet av farmasøytiske preparater   Mikstur   Stabilitet av farmasøytiske preparater : Topiramate     
Beholder Origine Hjelpestoff Temperatur Oppbevaring Varighet av stabilitet Referanser
Plastflaske Pulver 750 mg
® = ?
SyrSpend SF PH4® >> 150 mL
2-8°C Beskyttes mot lys
90 Dag
3999

Plastflaske Pulver 750 mg
® = ?
SyrSpend SF PH4® >> 150 mL
20-25°C Beskyttes mot lys
90 Dag
3999


  Mentions Légales