Dernière mise à jour :
18/03/2026
Antiépileptique   Topiramate  
Solution buvable
Stabilité des préparations Stabilité en mélange Facteur influençant la stabilité Compatibilités Bibliographie pdf
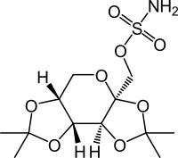
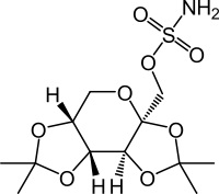
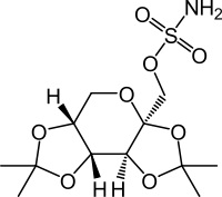
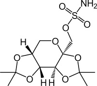
   Structure chimique  

Solution buvable
Stabilité des préparations   Solution buvable   Stabilité des préparations : Topiramate     
Contenant Origine Excipient Température Conservation Durée de stabilité Bibliographie
Flacon plastique Poudre 750 mg
® = ?
SyrSpend SF PH4® >> 150 mL
2-8°C A l’abri de la lumière
90 Jour
3999

Flacon plastique Poudre 750 mg
® = ?
SyrSpend SF PH4® >> 150 mL
20-25°C A l’abri de la lumière
90 Jour
3999


  Mentions Légales