viimane versioon :
27/01/2026
antiepileptikum   Topiramate  
suukaudne lahus
Stabiilsust ravimpreparaadid Stabiilsust mõjutavad tegurid stabiilsust mõjutavad faktorid Sobimatus Viited pdf
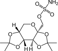
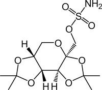
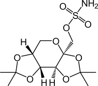
   keemiline struktuur  

suukaudne lahus
Stabiilsust ravimpreparaadid   suukaudne lahus   Stabiilsust ravimpreparaadid : Topiramate     
konteiner Origine  abiaine temperatuur ladustamine Stabiilsuse kestus Viited
Plastikpudel pulber 750 mg
® = ?
SyrSpend SF PH4® >> 150 mL
2-8°C kaitsta valguse eest
90 päev
3999

Plastikpudel pulber 750 mg
® = ?
SyrSpend SF PH4® >> 150 mL
20-25°C kaitsta valguse eest
90 päev
3999


  Mentions Légales