Última actualização :
27/04/2026
Antiepiléptico   Topiramate  
Solução Oral
Estabilidade de preparações farmacêuticas Estabilidade em misturas Factores que afectam a sua estabilidade Compatibilidade Bibliografía pdf
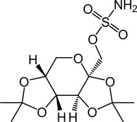
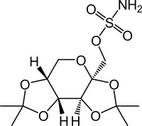
   estrutura química  

Solução Oral
Estabilidade de preparações farmacêuticas   Solução Oral   Estabilidade de preparações farmacêuticas : Topiramate     
Embalagem Origine excipiente temperatura conservação Duração da estabilidade Bibliografia
frasco de plástico pó 750 mg
® = ?
SyrSpend SF PH4® >> 150 mL
2-8°C ao abrigo da luz
90 dia
3999

frasco de plástico pó 750 mg
® = ?
SyrSpend SF PH4® >> 150 mL
20-25°C ao abrigo da luz
90 dia
3999


  Mentions Légales