Viimeisin päivitys :
27/01/2026
Epilepsialääkkeet   Topiramate  
Oraaliliuos
Vakaus lääkevalmisteen Stabilius seoksissa Tekijät, jotka vaikuttavat stabiliuteen Yhteensopivuus Viitteet pdf
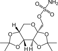
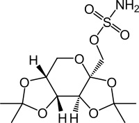
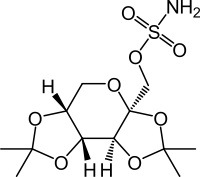
   Kemiallinen rakenne  

Oraaliliuos
Vakaus lääkevalmisteen   Oraaliliuos   Vakaus lääkevalmisteen : Topiramate     
Astia Origine Apuaine Lämpötila Säilytys Vakauden kesto Viitteet
Muovipullo Jauhe 750 mg
® = ?
SyrSpend SF PH4® >> 150 mL
2-8°C Suojattava valolta
90 Päivä
3999

Muovipullo Jauhe 750 mg
® = ?
SyrSpend SF PH4® >> 150 mL
20-25°C Suojattava valolta
90 Päivä
3999


  Mentions Légales