Pēdējā atjaunošana :
27/01/2026
Antiepileptiķis   Topiramate  
Orāls šķīdums
Stabilitāte farmaceitisko preparātu Maisījuma stabilitāte Stabilitāti ietekmējoši faktori Saderība Literatūras saraksts pdf
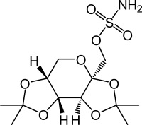
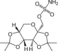
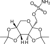
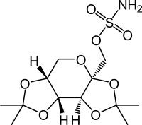
   Ķīmiskā uzbūve   

Orāls šķīdums
Stabilitāte farmaceitisko preparātu   Orāls šķīdums   Stabilitāte farmaceitisko preparātu : Topiramate     
Iepakojums Origine Palīgviela Temperatūra Glabāšana Stabilitātes ilgums Literatūras saraksts
Plastmasas pudele Pūderis 750 mg
® = ?
SyrSpend SF PH4® >> 150 mL
2-8°C Aizsargāt no gaismas
90 Diena
3999

Plastmasas pudele Pūderis 750 mg
® = ?
SyrSpend SF PH4® >> 150 mL
20-25°C Aizsargāt no gaismas
90 Diena
3999


  Mentions Légales