Останнє оновлення :
05/12/2025
Infostab
Список препаратів
Зведені списки
Пошук сумісності
Таблиця сумісності Y-site
Список літератури
Дослідницькі групи
valistab
Плакати
Посилання
Спонсори
Автори
Посібник користувача
Newsletter
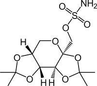
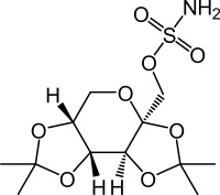
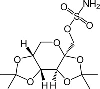
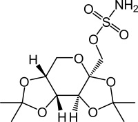
Topiramate
Хімічна структура
Стійкість сумішей : Topiramate
7 / 5 000 Résultats de traduction Немає даних
Mentions Légales