آخر تحديث :
27/04/2026
المضادة للصرع   Topiramate  
عن طريق الفم
استقرار المستحضرات الصيدلانية استقرار مخاليط العوامل التي تؤثر على الاستقرار التوافق مراجع pdf
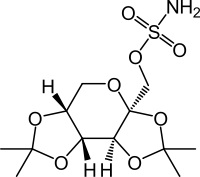
   التركيب الكيميائي  

عن طريق الفم
استقرار المستحضرات الصيدلانية   عن طريق الفم     استقرار المستحضرات الصيدلانية : Topiramate     
حاوية Origine الاضافات درجة الحرارة تخزين مدة الاستقرار مراجع
زجاجة من البلاستيك مسحوق 750 mg
® = ?
SyrSpend SF PH4® >> 150 mL
2-8°C بعيدا عن الضوء
90 يوم
3999

زجاجة من البلاستيك مسحوق 750 mg
® = ?
SyrSpend SF PH4® >> 150 mL
20-25°C بعيدا عن الضوء
90 يوم
3999


  Mentions Légales