Last update :
27/01/2026
Antiepileptic   Topiramate  
Oral solution
Stability of pharmaceutical preparations Stability of mixtures Factors which affect stability Compatibility References pdf
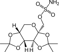
   Chemical structure  

Oral solution
Stability of pharmaceutical preparations   Oral solution   Stability of pharmaceutical preparations : Topiramate     
Container Origine excipient Temperature Storage Duration of stability References
plastic bottle powder 750 mg
® = ?
SyrSpend SF PH4® >> 150 mL
2-8°C Protect from light
90 Day
3999

plastic bottle powder 750 mg
® = ?
SyrSpend SF PH4® >> 150 mL
20-25°C Protect from light
90 Day
3999


  Mentions Légales