Poslední aktualizace :
03/03/2026
Antiepileptikum   Topiramate  
Perorální roztok
Stabilita farmaceutických přípravků Stabilita směsí Faktory ovlivňující stabilitu Kompatibilita Odkazy pdf
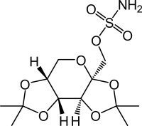
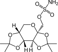
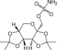
   Chemický vzorec  

Perorální roztok
Kompatibilita   Perorální roztok   Kompatibilita : Topiramate              
žádná data

  Mentions Légales