Son güncelleme :
27/01/2026
Antienflamatuvar   Ketoprofene  
Merhem
Enjeksiyon Fitil Oral solüsyon / oral çözelti
Farmasötik preparatlar Kararlılığı Karışımlardaki stabilitesi Stabiliteyi etkileyen faktörler Uyumluluk Kaynaklar pdf
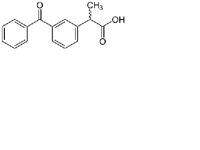
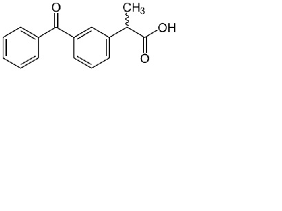
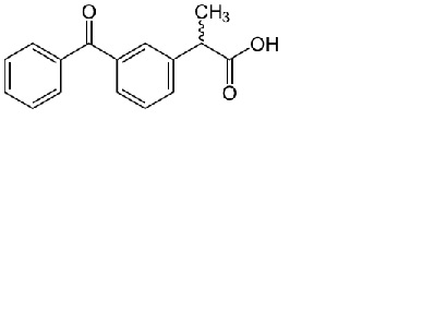
   Kimyasal yapı   

Merhem
Uyumluluk   Merhem   Uyumluluk : Ketoprofene              
veri yok

  Mentions Légales