Zadnji put ažurirano :
27/04/2026
protuupalni   Ketoprofene  
masti
čepić injekcija oralna otopina
Stabilnost farmaceutskih pripravaka Stabilnost mješavine Stabilizacijski faktor Kompatibilnosti Bibliografija pdf
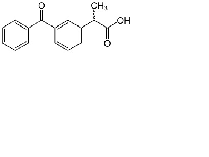
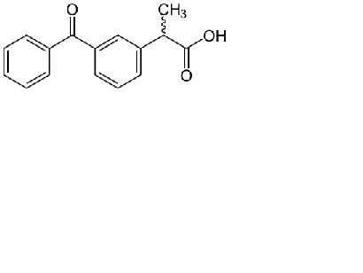
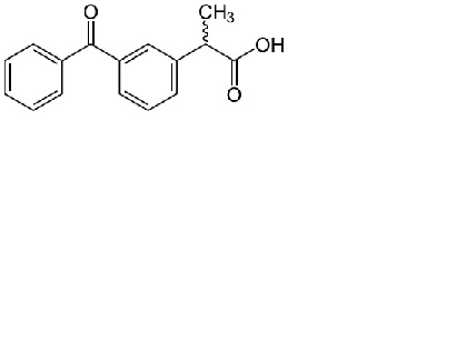
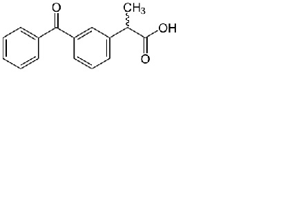
   Kemijska struktura  

masti
Kompatibilnosti   masti   Kompatibilnosti : Ketoprofene              
bez podataka

  Mentions Légales