zadnja posodobitev :
27/01/2026
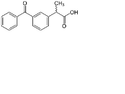
Protivnetno zdravilo   Ketoprofene  
Mazila
Brizgalka Peroralna raztopina Svečka
Stabilnost farmacevtskih preparatov Stabilnost mešanice Faktorji, ki vplivajo na stabilnost Kompatibilnost Viri pdf
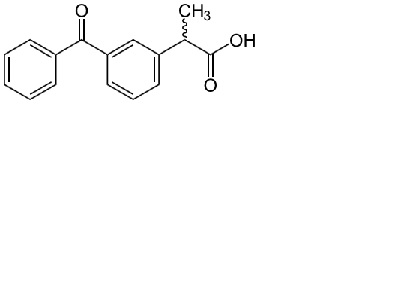
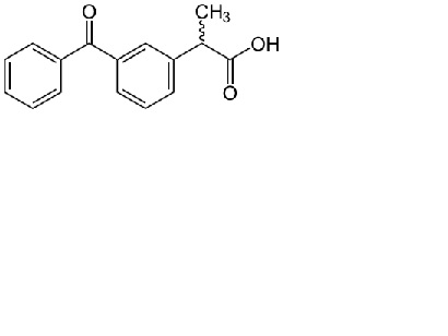
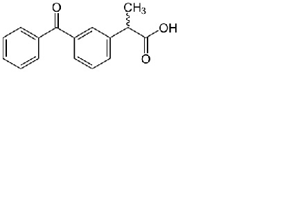
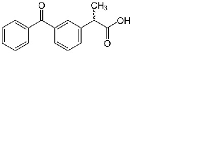
   Kemična formula  

Mazila
Kompatibilnost   Mazila   Kompatibilnost : Ketoprofene              
ni podatka

  Mentions Légales