Senaste uppdateringen :
27/01/2026
Antiinflammatoriskt medel   Ketoprofene  
Salvor
injektion Oral lösning Stolpiller
Stabilitet av läkemedel Stabilitet i blandningar Faktorer som påverkar stabiliteten Kompatibilitet Hänvisningar pdf
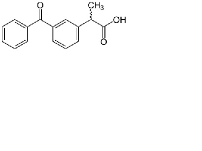
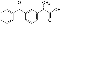
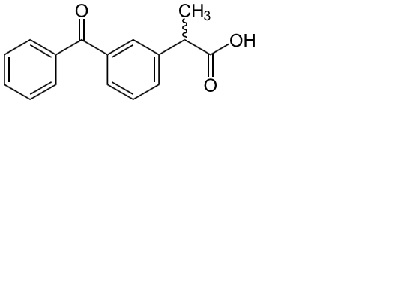
   Molekylstruktur  

Salvor
Kompatibilitet   Salvor   Kompatibilitet : Ketoprofene              
Ingen uppgift

  Mentions Légales