Posledná aktualizácia :
27/04/2026
Antiflogistikum   Ketoprofene  
Dermálny prípravok
Čapík Injekcia Perorálny roztok
Stabilita farmaceutických prípravkov Stabilita v zmesiach Faktory ovplyvňujúce stabilitu Kompatibility Odkazy na literatúru PDF
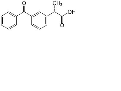
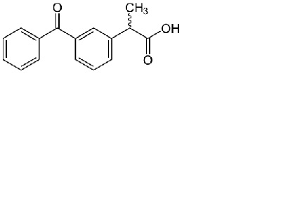
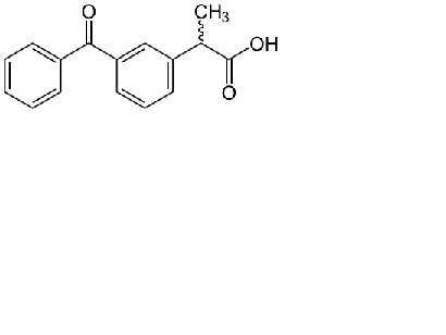
   Chemický vzorec  

Dermálny prípravok
Kompatibility   Dermálny prípravok   Kompatibility : Ketoprofene              
žiadne údaje

  Mentions Légales