Última actualización :
27/01/2026
Antiinflamatorio   Ketoprofene  
Preparaciones tópicas
Inyectables Solución Oral Supositorio
La estabilidad de las preparaciones farmacéuticas Estabilidad en mezcla Factores que influyen sobre la estabilidad Compatibilidades Bibliografía pdf
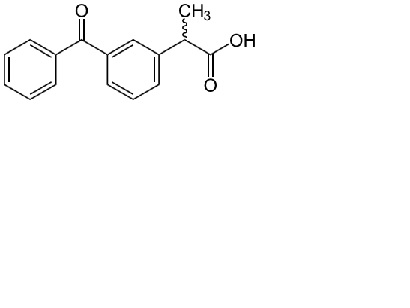
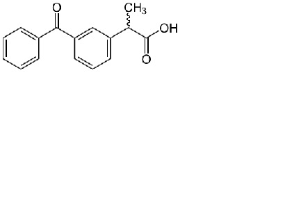
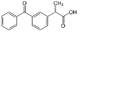
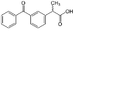
   Estructura química  

Preparaciones tópicas
Compatibilidades   Preparaciones tópicas   Compatibilidades : Ketoprofene              
Ausencia de datos

  Mentions Légales