Ostatnia aktualizacja :
27/04/2026
Lek przeciwzapalny   Ketoprofene  
Maści
Czopek Injekcje Roztwór doustny
Stabilność preparatów farmaceutycznych Trwałość w mieszaninie Czynnik wpływający na trwałość Zgodność Bibliografia pdf
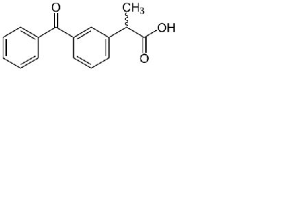
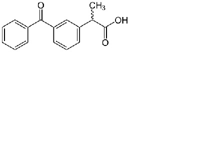
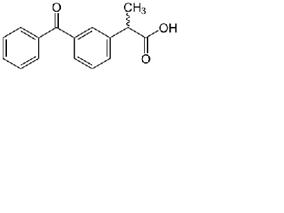
   Struktura chemiczna  

Maści
Zgodność   Maści   Zgodność : Ketoprofene              
Brak danych

  Mentions Légales