Siste oppdatering :
27/01/2026
Antiinflammatorisk   Ketoprofene  
Salver
Injeksjon Mikstur Stikkpille
Stabilitet av farmasøytiske preparater Stabilitet i blandinger Faktorer som påvirker stabiliteten Kompatibilitet Referanser pdf
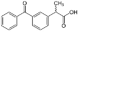
   Kjemisk struktur  

Salver
Kompatibilitet   Salver   Kompatibilitet : Ketoprofene              
Ingen opplysninger

  Mentions Légales