Τελευταία ενημέρωση :
27/04/2026
Αντιφλεγμονώδες   Ketoprofene  
Αλοιφές
Ενέσιμο Πόσιμο διάλυμα Υπόθετο
Σταθερότητα και συμβατότητα των φαρμάκων Σταθερότητα σε μίγματα Παράγοντας που επηρεάζει τη σταθερότητα Συμβατότητες Βιβλιογραφία pdf
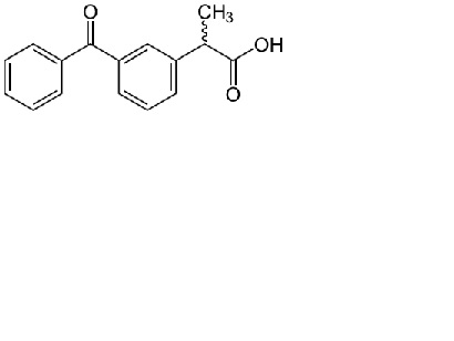
   χημική δομή  

Αλοιφές
Συμβατότητες    Αλοιφές   Συμβατότητες : Ketoprofene              
Δεν υπάρχουν πληροφορίες

  Mentions Légales