آخر تحديث :
27/01/2026
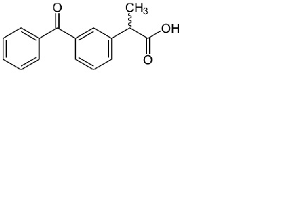
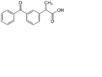
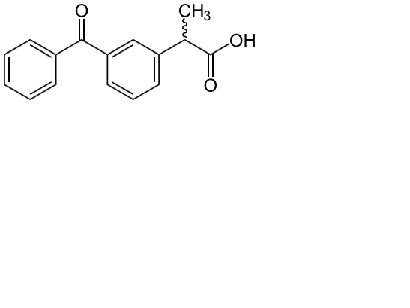
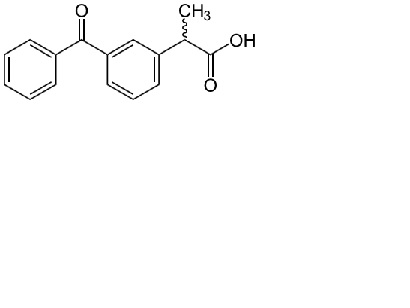
المضادة للالتهابات   Ketoprofene  
المراهم
تحميلة حقن عن طريق الفم
استقرار المستحضرات الصيدلانية استقرار مخاليط العوامل التي تؤثر على الاستقرار التوافق مراجع pdf
   التركيب الكيميائي  

المراهم
التوافق   المراهم   التوافق : Ketoprofene              
لا توجد بيانات

  Mentions Légales