Laatste update :
27/04/2026
Ontstekingsremmer   Ketoprofene  
zalf
injecteerbaar geneesmiddel Orale Oplossing zetpil
Stabiliteit van farmaceutische preparaten Stabiliteit in mengsels Factoren die de stabiliteit beïnvloeden Verenigbaarheden Literatuur pdf
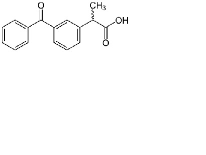
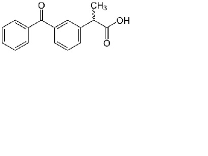
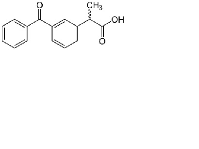
   Molecuulstructuur  

zalf
Verenigbaarheden   zalf   Verenigbaarheden : Ketoprofene              
geen gegevens

  Mentions Légales