Poslední aktualizace :
27/01/2026
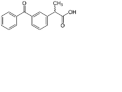
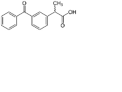
Antiflogistikum   Ketoprofene  
Masti
čípky injekce Perorální roztok
Stabilita farmaceutických přípravků Stabilita směsí Faktory ovlivňující stabilitu Kompatibilita Odkazy pdf
   Chemický vzorec  

Masti
Kompatibilita   Masti   Kompatibilita : Ketoprofene              
žádná data

  Mentions Légales