Dernière mise à jour :
27/01/2026
Antiinflammatoire   Ketoprofene  
Forme dermique
injectable Solution buvable Suppositoires
Stabilité des préparations Stabilité en mélange Facteur influençant la stabilité Compatibilités Bibliographie pdf
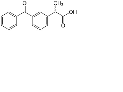
   Structure chimique  

Forme dermique
Compatibilités   Forme dermique   Compatibilités : Ketoprofene              
Aucune donnée

  Mentions Légales