Viimeisin päivitys :
27/01/2026
Tulehduslääkkeet   Ketoprofene  
Salvat
Injektioneste Oraaliliuos Peräpuikko
Vakaus lääkevalmisteen Stabilius seoksissa Tekijät, jotka vaikuttavat stabiliuteen Yhteensopivuus Viitteet pdf
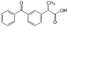
   Kemiallinen rakenne  

Salvat
Yhteensopivuus   Salvat   Yhteensopivuus : Ketoprofene              
ei tietoa

  Mentions Légales