Última actualización :
21/01/2026
Antifúngico   Amphotericin B liposomale  
Gotas oculares
Inyectables
La estabilidad de las preparaciones farmacéuticas Estabilidad en mezcla Factores que influyen sobre la estabilidad Compatibilidades Bibliografía pdf
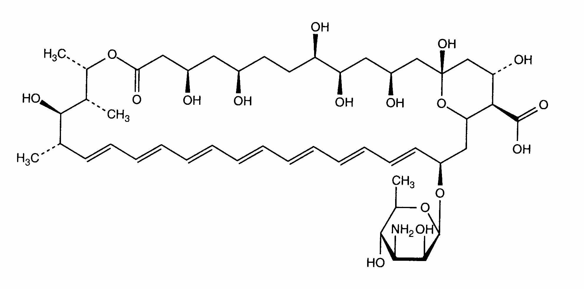
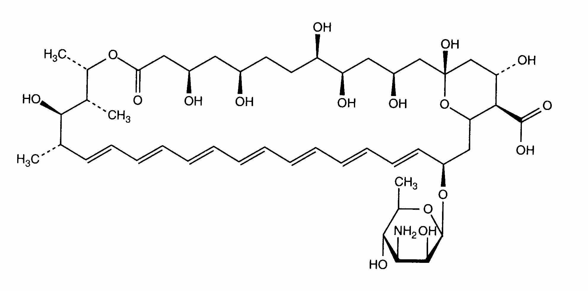
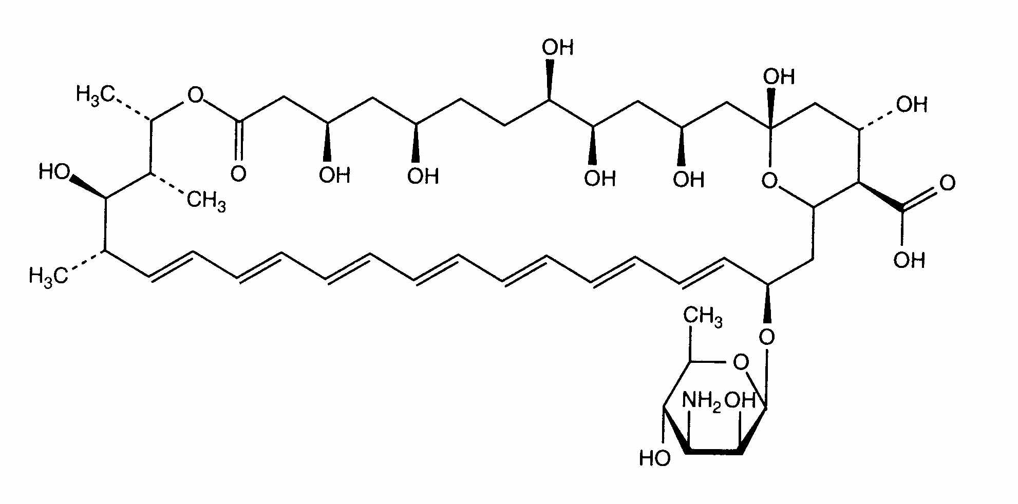
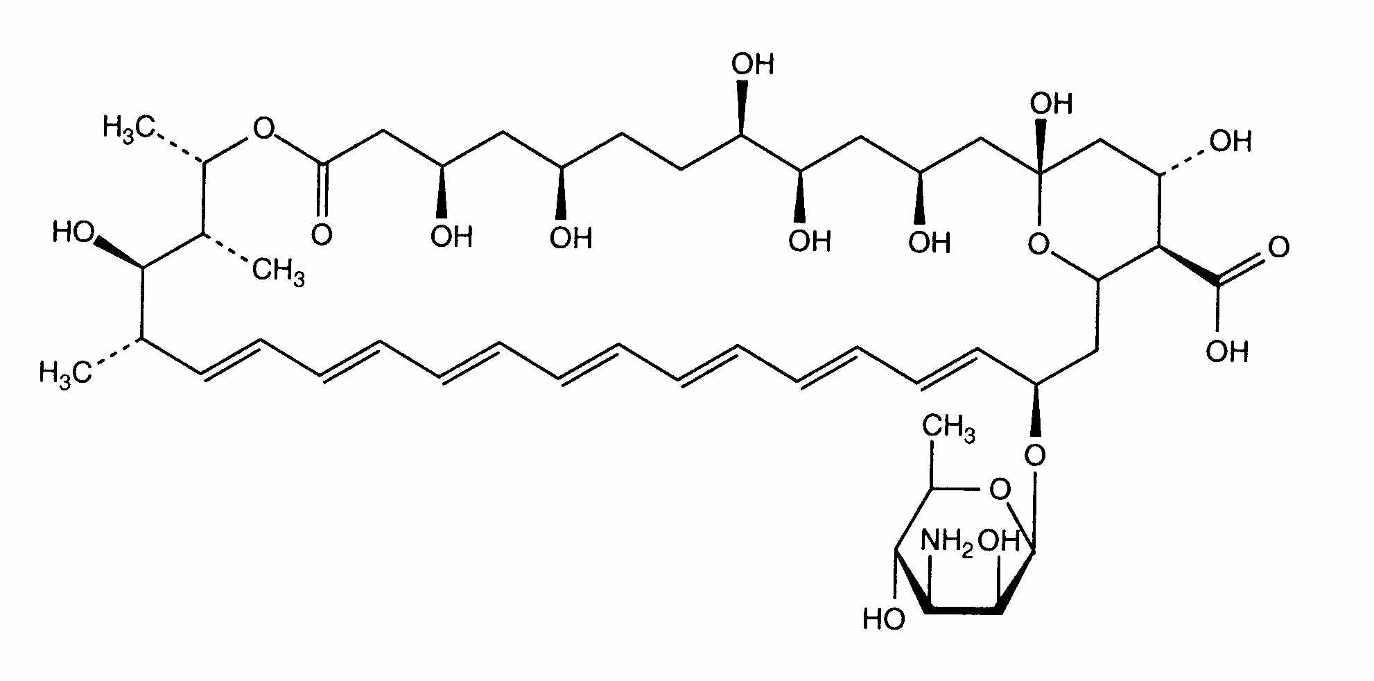
Liposoma   Estructura química  

Gotas oculares
Bibliografía   Gotas oculares   Bibliografía : Amphotericin B liposomale  
Tipo Publicación
2654 periódico Morand K, Bartoletti AC, Bochot A, Barratt G, Brandely ML, Chast F.
Liposomal amphotericin B eye drops to treat fungal keratitis: physico-chemical and formulation stability.
Int J Pharm 2007 ; 344, 1-2: 150-153.

  Mentions Légales