Posledná aktualizácia :
27/04/2026
antimykotikum   Amphotericin B liposomale  
Očná instilácia
Injekcia
Stabilita farmaceutických prípravkov Stabilita v zmesiach Faktory ovplyvňujúce stabilitu Kompatibility Odkazy na literatúru PDF
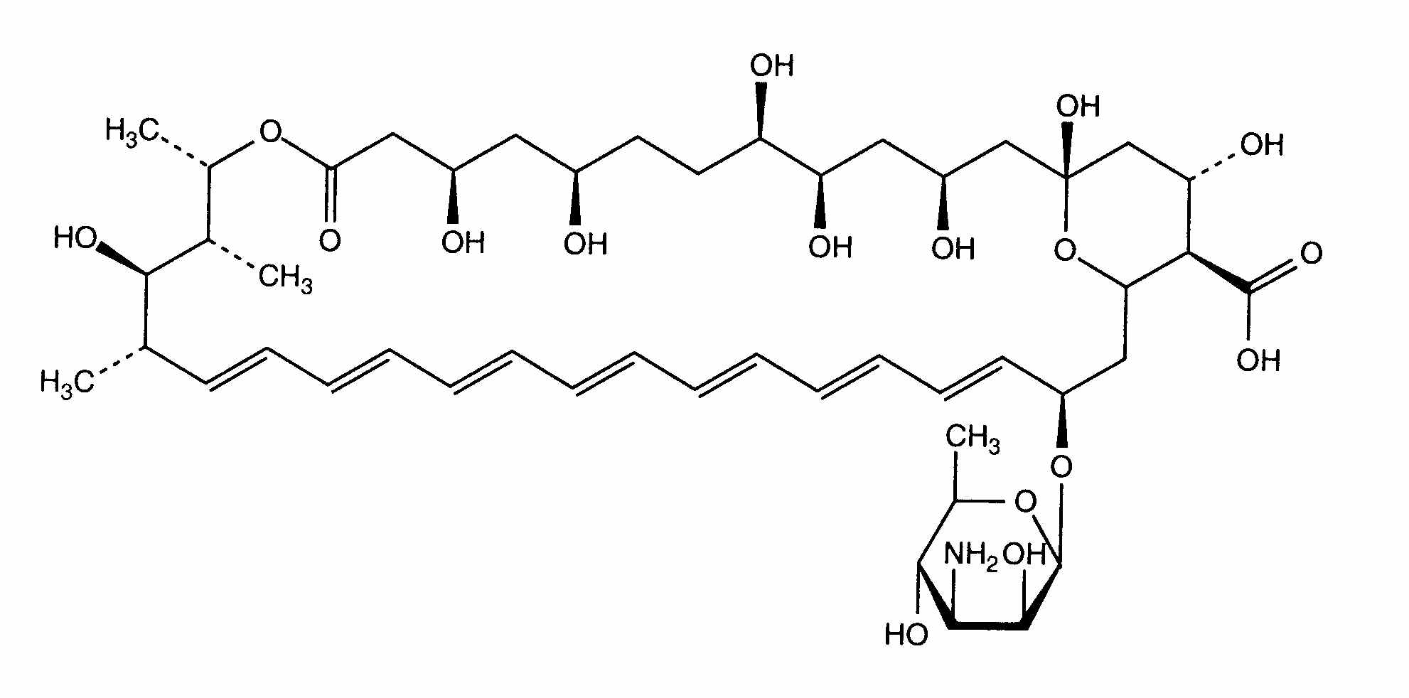
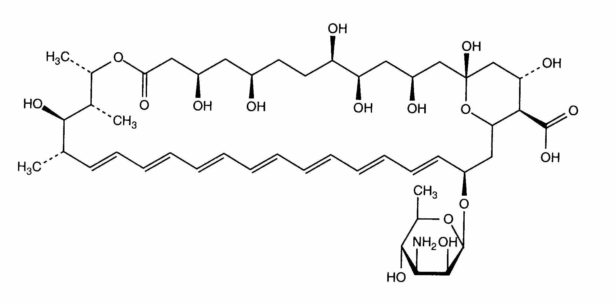
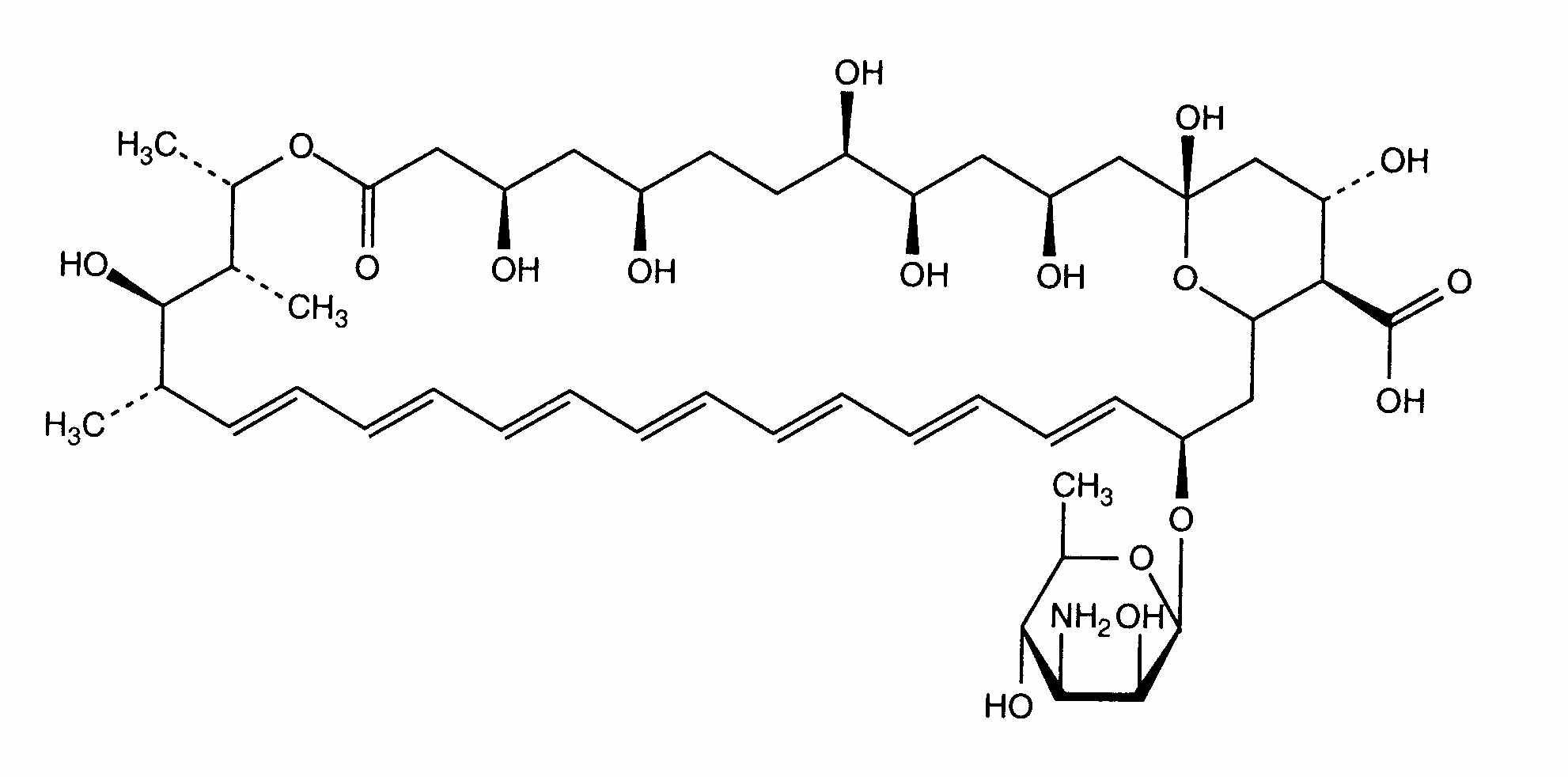
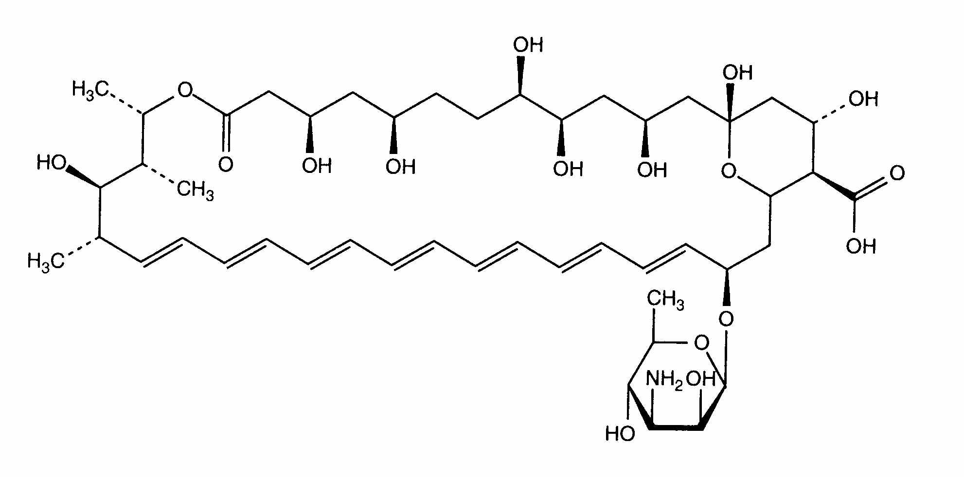
lipozóm   Chemický vzorec  

Očná instilácia
Odkazy na literatúru   Očná instilácia   Odkazy na literatúru : Amphotericin B liposomale  
Typ Publikácia
2654 Časopis Morand K, Bartoletti AC, Bochot A, Barratt G, Brandely ML, Chast F.
Liposomal amphotericin B eye drops to treat fungal keratitis: physico-chemical and formulation stability.
Int J Pharm 2007 ; 344, 1-2: 150-153.

  Mentions Légales