Последнее обновление :
27/04/2026
Противогрибковое средство   Amphotericin B liposomale  
Глазные капли
Инъекция
Стабильность фармацевтических препаратов Стабильность смесей Факторы, которые влияют на стабильность Совместимость Библиография pdf
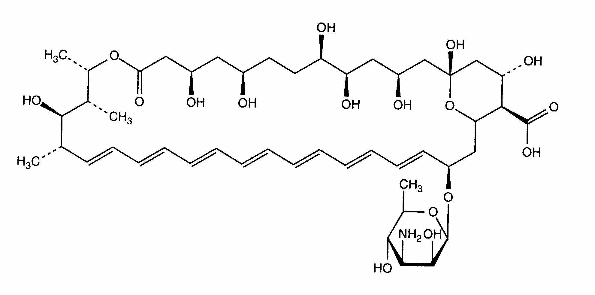
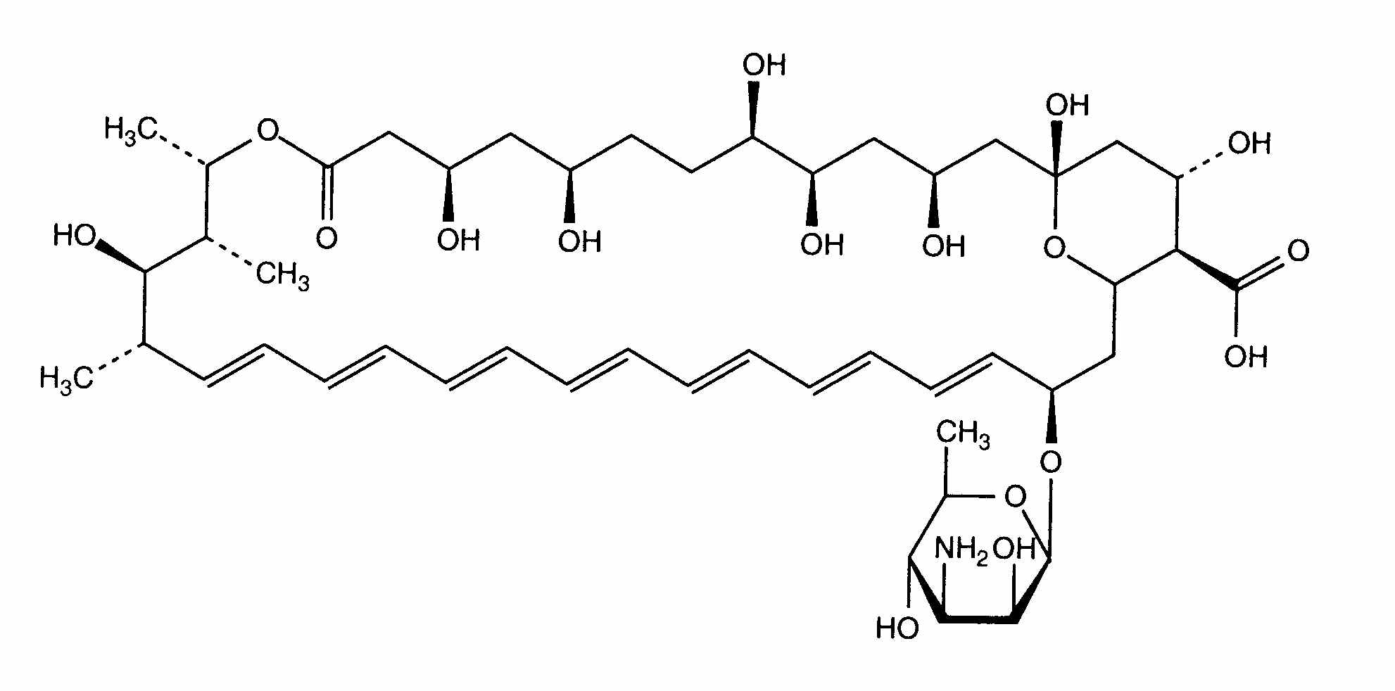
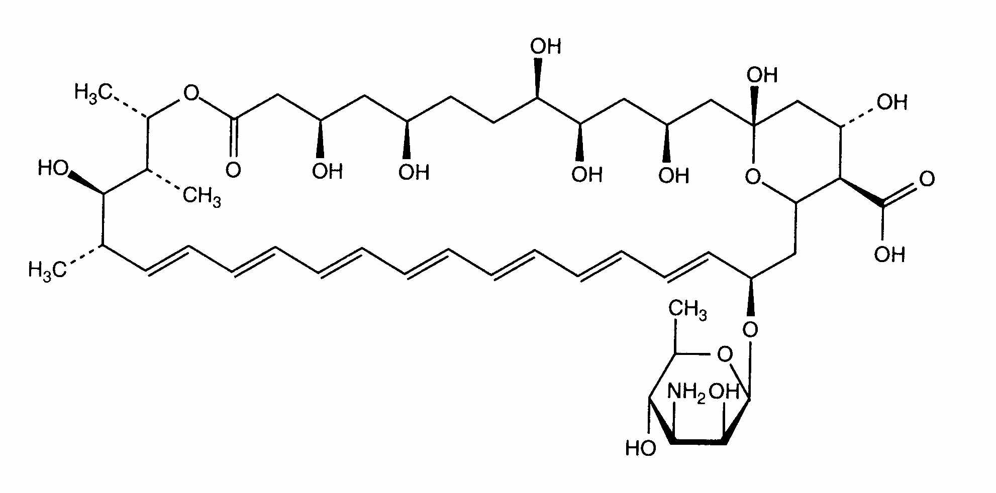
Липосома   Химическая структура  

Глазные капли
Библиография   Глазные капли   Библиография : Amphotericin B liposomale  
тип публикация
2654 Журнал Morand K, Bartoletti AC, Bochot A, Barratt G, Brandely ML, Chast F.
Liposomal amphotericin B eye drops to treat fungal keratitis: physico-chemical and formulation stability.
Int J Pharm 2007 ; 344, 1-2: 150-153.

  Mentions Légales