Last update :
27/04/2026
Antifungal   Amphotericin B liposomale  
Eye-drops
injection
Stability of pharmaceutical preparations Stability of mixtures Factors which affect stability Compatibility References pdf
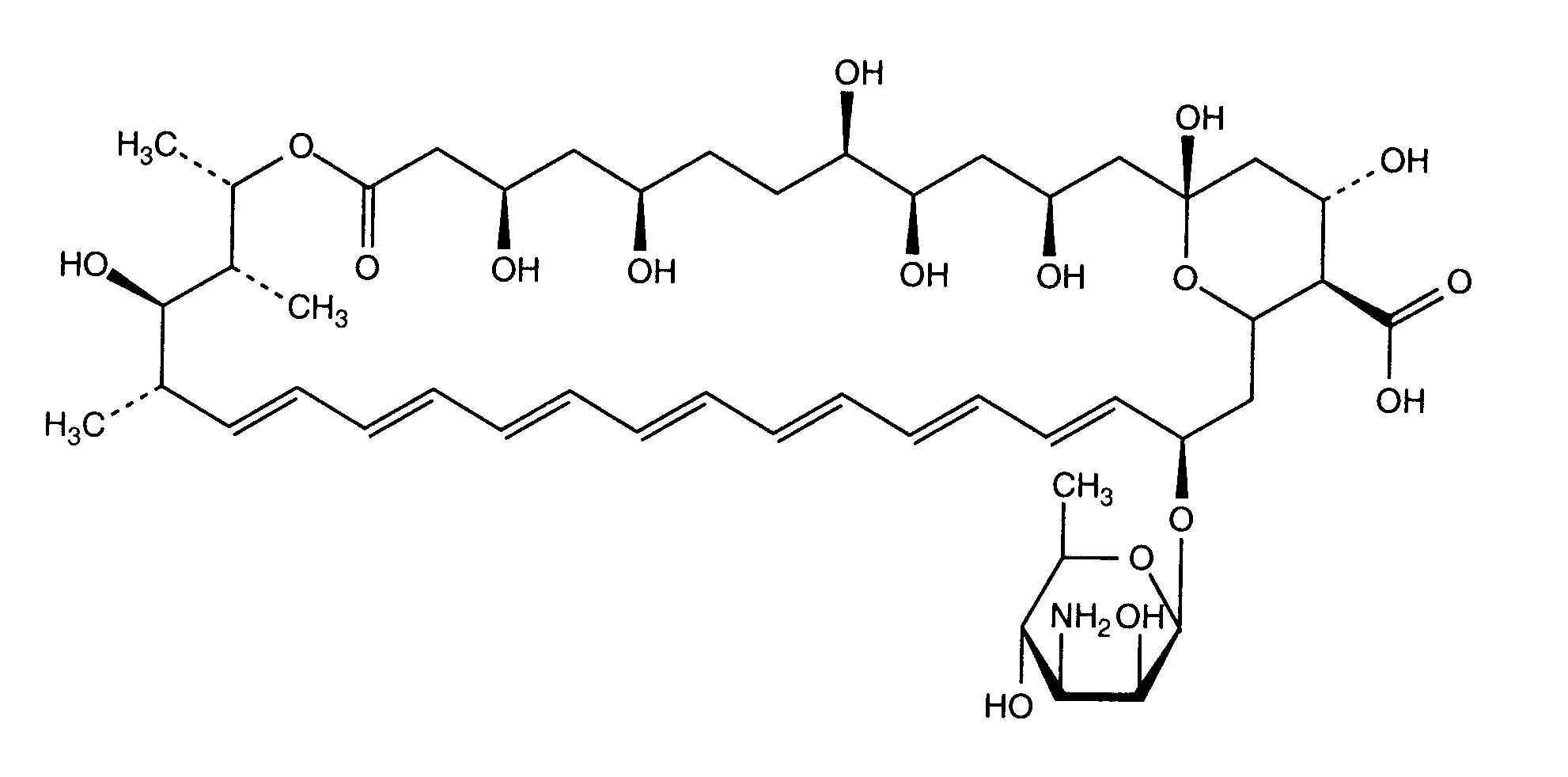
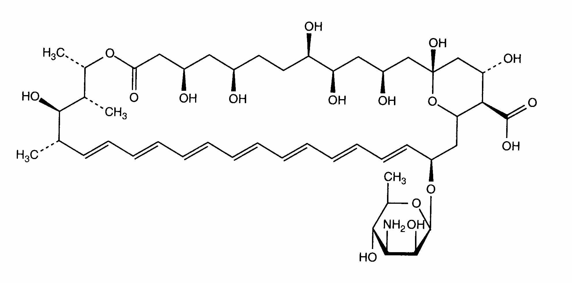
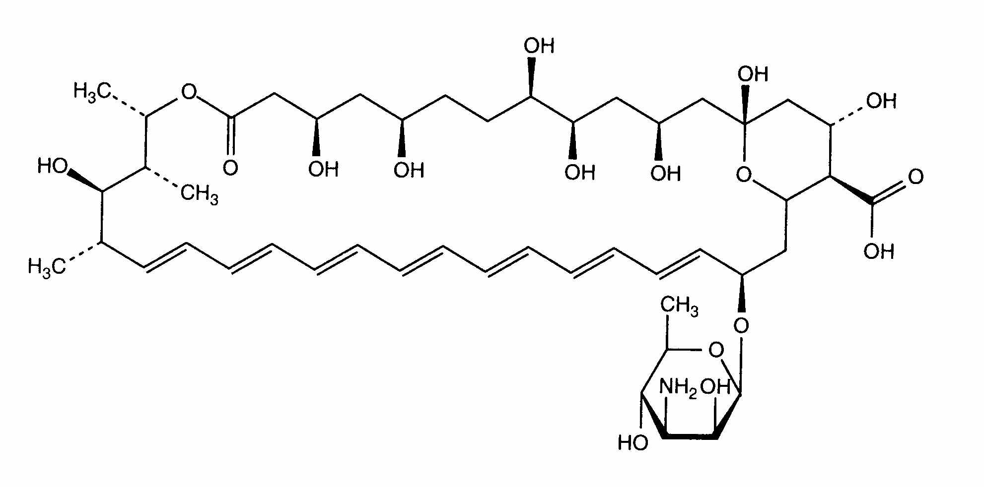
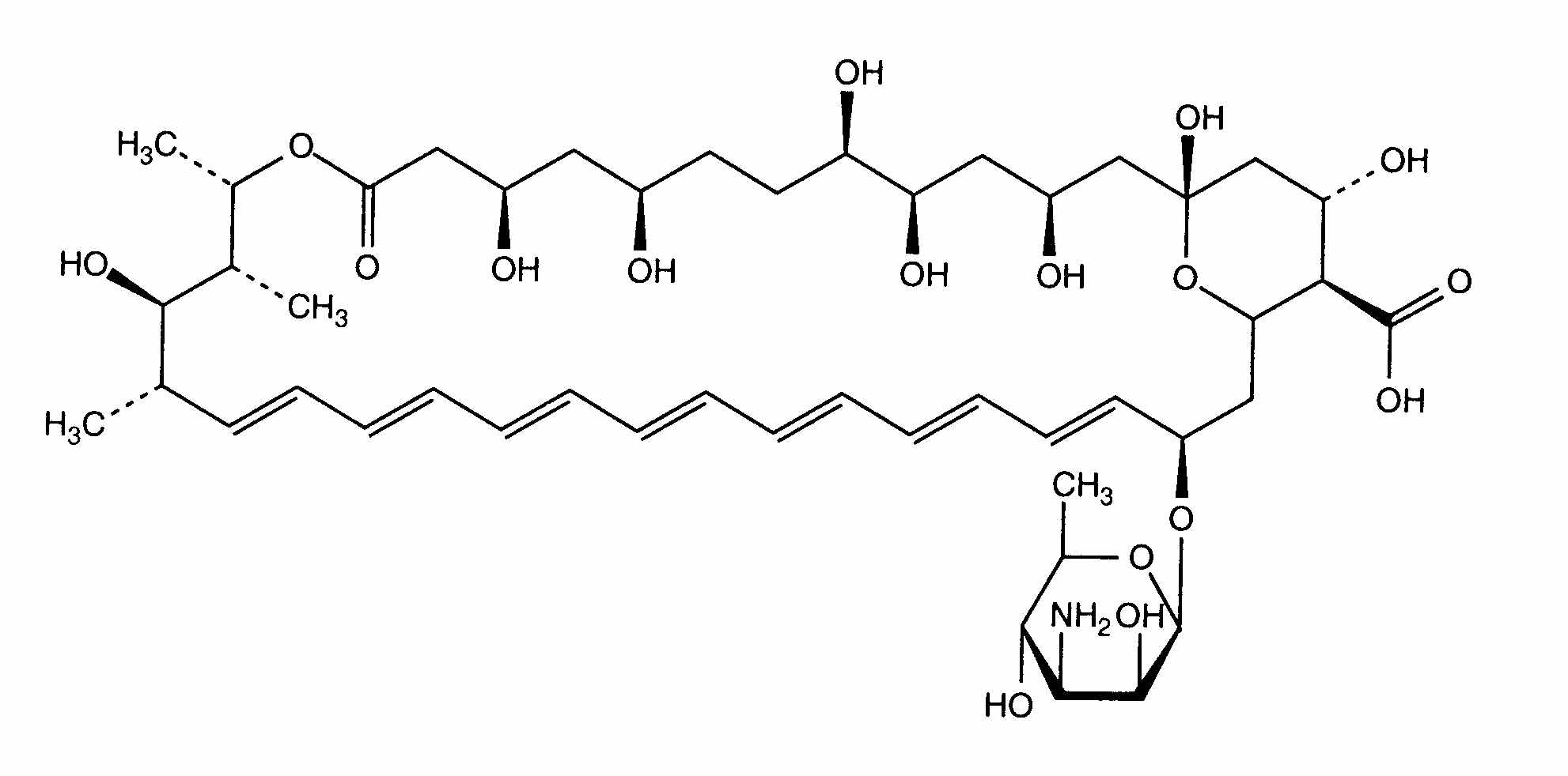
Liposome   Chemical structure  

Eye-drops
References   Eye-drops   References : Amphotericin B liposomale  
Type Publication
2654 Journal Morand K, Bartoletti AC, Bochot A, Barratt G, Brandely ML, Chast F.
Liposomal amphotericin B eye drops to treat fungal keratitis: physico-chemical and formulation stability.
Int J Pharm 2007 ; 344, 1-2: 150-153.

  Mentions Légales