Seneste opdatering :
27/04/2026
Antisvampe   Amphotericin B liposomale  
Øjendråber
Injektion
Stabilitet af farmaceutiske tilberedninger Stabilitet i blandinger Faktorer der påvirker stabiliteten Kompatibilitet Bibliografi pdf
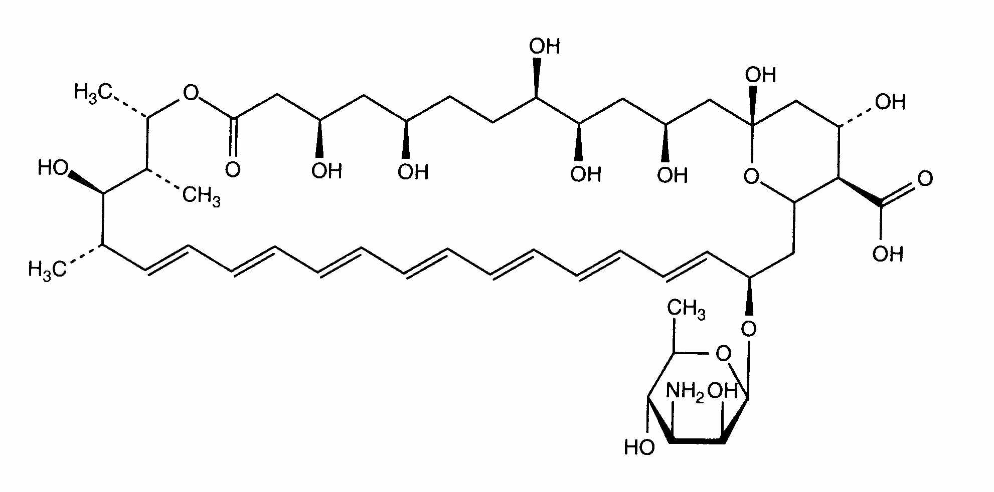
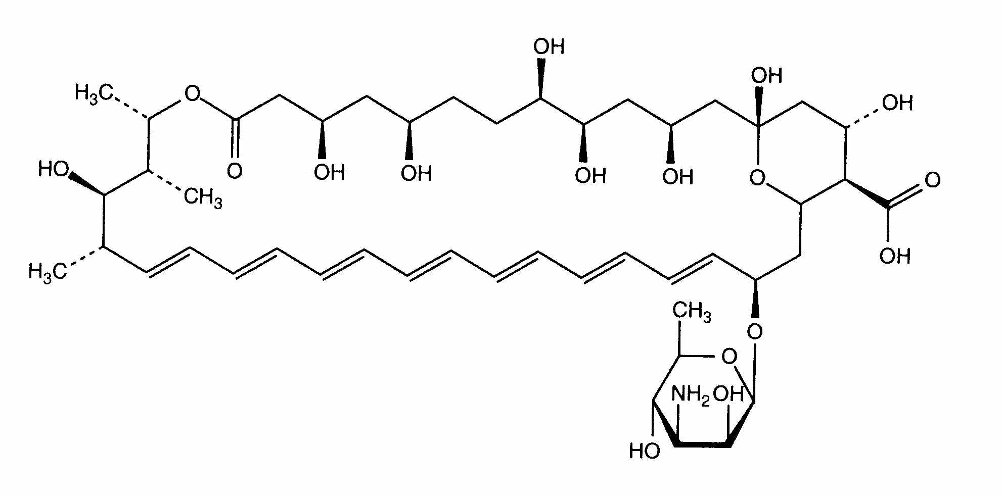
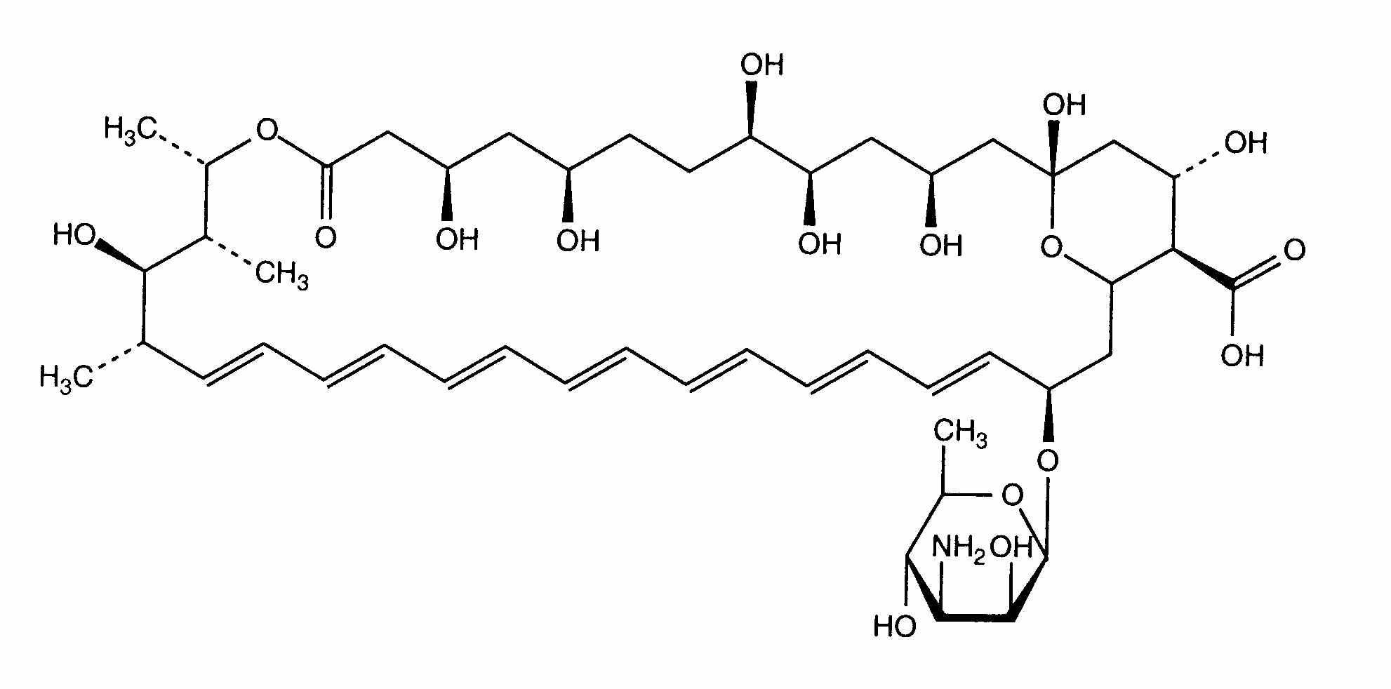
Liposom   Kemisk struktur  

Øjendråber
Bibliografi   Øjendråber   Bibliografi : Amphotericin B liposomale  
Type offentliggørelse
2654 Journal Morand K, Bartoletti AC, Bochot A, Barratt G, Brandely ML, Chast F.
Liposomal amphotericin B eye drops to treat fungal keratitis: physico-chemical and formulation stability.
Int J Pharm 2007 ; 344, 1-2: 150-153.

  Mentions Légales